VREYA tabletti, päällystetty 0,035/2 mg

Lataa äänitiedostona, MP3 (11,1 mt, 09.07.2025 19:05:46)

Vreya 2mg/0,035 mg tabletti, päällystetty

syproteroniasetaatti/etinyyliestradioli

Yleisiä ohjeita

Lue tämä pakkausseloste kokonaan huolellisesti, ennen kuin aloitat lääkkeen käyttämisen, sillä se sisältää sinulle tärkeitä tietoja.

  • Säilytä tämä pakkausseloste. Joudut ehkä lukemaan sen uudelleen.
  • Jos sinulla on kysyttävää, käänny lääkärin tai apteekkihenkilökunnan puoleen.
  • Tämä lääke on määrätty vain sinulle. Älä anna sitä muiden käyttöön. Se voi aiheuttaa haittaa muille, vaikka heillä olisikin samanlaiset oireet kuin sinulla.

Jos havaitset haittavaikutuksia, käänny lääkärin tai apteekkihenkilökunnan puoleen. Tämä koskee myös sellaisia mahdollisia haittavaikutuksia, joita ei ole mainittu tässä pakkausselosteessa. Ks. kohta Mahdolliset haittavaikutukset.

Tässä pakkausselosteessa kerrotaan

1. Mitä Vreya on ja mihin sitä käytetään.

2. Mitä sinun on tiedettävä, ennen kuin käytät Vreya-valmistetta

3. Miten Vreya-valmistetta käytetään

4. Mahdolliset haittavaikutukset

5. Vreya-valmisteen säilyttäminen

6. Pakkauksen sisältö ja muuta tietoa

1. Mitä valmiste on ja mihin sitä käytetään

Vreya-valmistetta käytetään ihosairauksien, kuten aknen, hyvin rasvaisen ihon ja liiallisen karvan kasvun hoitoon hedelmällisessä iässä olevilla naisilla. Valmisteen ehkäisyominaisuuksien vuoksi sitä tulee määrätä sinulle vain, jos lääkäri katsoo hoidon hormonaalisella ehkäisyvalmisteella sopivan sinulle.

Käytä Vreya-valmistetta vain siinä tapauksessa, että ihosairautesi ei ole parantunut muilla aknehoidoilla mukaan lukien paikallinen hoito ja antibiootit. .

2. Mitä sinun on tiedettävä ennen valmisteen käyttöä

Älä ota Vreya-valmistetta

Ennen kuin alat käyttää Vreya-valmistetta, kerro lääkärille, jos jokin seuraavista koskee sinua. Lääkäri saattaa siinä tapauksessa neuvoa sinua käyttämään toista hoitoa:

  • jos käytät muuta hormonaalista ehkäisyä;
  • jos sinulla on (tai on ollut) veritulppa jalassa (tromboosi), keuhkoissa (keuhkoembolia) tai muualla elimistössä;
  • jos sinulla on (tai on ollut) sairaus, joka saattaa olla sydäninfarktin ensioire (esim. angina pectoris, joka aiheuttaa voimakkaan rintakivun) tai ohimenevä aivoverenkiertohäiriö;
  • jos sinulla on (tai on ollut) sydäninfarkti tai aivohalvaus;
  • jos sinulla on sairaus, joka saattaa lisätä veritulpan riskiä valtimoissa. Tämä koskee seuraavia sairauksia:
    • diabetes, johon liittyy verisuonivaurioita;

hyvin korkea verenpaine;

  • hyvin korkeat veren rasva-arvot (kolesteroli tai triglyseridi).

jos sinulla on ongelmia veren hyytymisessä (esim. proteiini C:n puutos);

  • jos sinulla on (tai on joskus ollut) migreeni, johon liittyy näköhäiriöitä;

jos olet raskaana tai imetät;

  • jos olet allerginen syproteroniasetaatille, etinyyliestradiolille tai valmisteen jollekin muulle aineelle (lueteltu kohdassa Pakkauksen sisältö ja muuta tietoa). Allergian voi tunnistaa kutinasta, ihottumasta tai kasvojen turvotuksesta;
  • jos sinulla on tai on ollut maksasairaus tai keltaisuutta;
  • jos sinulla on meningiooma tai jos sinulla on joskus diagnosoitu meningiooma (yleensä hyvänlaatuinen aivokalvon kasvain aivojen ja kallon välissä).
  • jos sinulla on sairaus, joka lisää valtimotukoksen (valtimotromboosin) riskiä;
  • jos sinulla on tai on ollut haimatulehdus;
  • jos sinulla on tai on ollut (hyvän- tai pahanlaatuinen) maksakasvain;
  • jos sinulla on vakavia tai useita valtimo- tai laskimotromboosin riskitekijöitä, et ehkä voi käyttää tätä lääkettä. Ks.Varoitukset ja varotoimet;
  • jos sinulla on tai epäillään olevan hormoniperäinen, pahanlaatuinen kasvain sukuelimissä, rinnoissa tai maksassa;
  • jos sinulla on tuntemattomasta syystä johtuvaa verenvuotoa emättimestä;
  • jos sinulla on hepatiitti C ja käytät ombitasviirin, paritapreviirin ja ritonaviirin yhdistelmää ja dasabuviiria, glekapreviirin ja pibrentasviirin yhdistelmää tai sofosbuviirin, velpatasviirin ja voksilapreviirin yhdistelmää sisältäviä lääkevalmisteita (ks. myös kohta Muut lääkevalmisteet ja Vreya).

Vreya-valmistetta ei saa käyttää miehien hoidossa.

Erityispotilasryhmät

Lapset ja nuoret

Vreya-valmistetta ei ole tarkoitettu naisille, joiden kuukautiset eivät vielä ole alkaneet.

Iäkkäät naiset

Vreya-valmistetta ei ole tarkoitettu vaihdevuosien jälkeiseen käyttöön.

Maksan vajaatoimintaa sairastavat naiset

Vreya-valmiste on vasta-aiheinen naisilla, joilla on vakavia maksan sairauksia niin kauan kuin maksan toiminta-arvot eivät ole palannut normaaleiksi. Katso myös kohdat “Älä ota Vreya-valmistetta” ja “Varoitukset ja varotoimet”.

Munuaisten vajaatoimintaa sairastavat naiset

Ota asia puheeksi lääkärisi kanssa. Käytettävissä olevien tietojen mukaan Vreya-valmisteen käyttöä ei ole tarvetta muuttaa.

Varoitukset ja varotoimet

Keskustele lääkärin tai apteekkihenkilökunnan kanssa ennen kuin otat Vreya-valmistetta.

Milloin sinun tulee ottaa yhteyttä lääkäriin

Ota mahdollisimman pian yhteys lääkäriin, jos:

• huomaat muutoksia terveydentilassasi, erityisesti jos ne liittyvät tässä pakkausselosteessa mainittuihin seikkoihin (ks. myös kohta Mitä sinun on tiedettävä ennen valmisteen käyttöä: ”Älä ota Vreya-valmistetta” ja ”Varoitukset ja varotoimet”. Muista myös, mitä on sanottu lähisukulaisilla esiintyvistä sairauksista);

• havaitset kyhmyn rinnassasi;

• alat käyttää muita lääkkeitä (ks. myös kohta Mitä sinun on tiedettävä ennen valmisteen käyttöä: ”Muut lääkevalmisteet ja Vreya”);

• menet leikkaukseen (ota yhteys lääkäriin vähintään neljä viikkoa aikaisemmin), joudut vuodepotilaaksi tai et pysty kävelemään;

• sinulla esiintyy jatkuvaa tai pahenevaa epäsäännöllistä verenvuotoa emättimestä;

• unohdit ottaa tabletteja pakkauksen ensimmäisen käyttöviikon aikana ja olit yhdynnässä edeltävien seitsemän päivän aikana;

• kuukautiset jäävät tulematta kaksi kertaa peräkkäin (älä aloita seuraavaa läpipainopakkausta, ennen kuin lääkäri antaa luvan).

Lopeta tablettien ottaminen ja ota välittömästi yhteys lääkäriin, jos havaitset merkkejä mahdollisesta veritulpasta. Oireet on kuvattu kohdassa Mitä sinun on tiedettävä ennen valmisteen käyttöä "Veritulppa (tromboosi)".

Edellä mainittuja tilanteita ja oireita on kuvattu tarkemmin toisaalla tässä pakkausselosteessa.

Vreya toimii myös ehkäisytablettina. Sinun on yhdessä lääkärin kanssa käytävä läpi kaikki asiat, jotka yleensäkin liittyvät hormonaalisten ehkäisytablettien turvalliseen käyttöön.

Käytettäessä suuria syproteroniasetaattiannoksia (25 mg ja suuremmat) on raportoitu hyvänlaatuisen aivokasvaimen (meningiooman) riskin lisääntymistä. Jos sinulla diagnosoidaan meningiooma, lääkäri lopettaa varotoimenpiteenä kaikki syproteronia sisältävät hoidot, mukaan lukien Vreya-hoidon (ks. kohta ”Älä ota Vreya-valmistetta”).

Vreya-hoitoa ei saa antaa miehille.

Veritulppa (tromboosi)

Vreya-valmisteen käyttö saattaa hieman suurentaa riskiäsi saada veritulppa (tromboosi). Veritulpan todennäköisyys nousee Vreya-valmisteen käytön myötä vain vähän verrattuna naisiin, jotka eivät käytä Vreya-valmistetta tai muita ehkäisytabletteja. Veritulpasta toipuminen ei tapahdu aina täydellisesti ja 1–2 % tapauksista voi johtaa kuolemaan.

Laskimoveritulppa

Veritulppa laskimossa (laskimotromboosi) voi tukkia laskimon. Veritulppa voi esiintyä jalan, keuhkon (keuhkoembolia) tai muun elimen laskimossa.

Yhdistelmäehkäisytabletteja käyttävillä naisilla tällaisten veritulppien riski on suurempi kuin naisilla, jotka eivät käytä yhdistelmäehkäisytabletteja. Laskimoveritulpan riski on suurin ensimmäisen vuoden aikana, jolloin nainen käyttää tabletteja. Riski ei ole yhtä suuri kuin veritulppariski raskauden aikana.

Laskimoveritulpan riski yhdistelmäehkäisytablettien käyttäjillä kasvaa edelleen:

  • iän myötä;
  • jos tupakoit;

Hormonaalisen ehkäisyvalmisteen, kuten Vreya -valmisteen, käytön aikana on erittäin suositeltavaa lopettaa tupakointi, etenkin jos olet yli 35-vuotias;

  • jos lähisukulaisellasi on ollut nuorella iällä veritulppa jalassa, keuhkoissa tai muussa elimessä;
  • jos olet ylipainoinen;
  • jos sinulle täytyy suorittaa leikkaus tai olet pitkään vuodepotilaana tapaturman tai sairauden vuoksi tai sinulla on jalka kipsissä;
  • ja jos sinulla on pinnallinen laskimotulehdus ja suonikohjut. Ei ole vielä selvää, kasvattavatko nämä sairaudet veritulpan riskiä.

Jos tämä koskee sinua, on tärkeää että kerrot lääkärille käyttäväsi Vreya-valmistetta, koska sen käyttö täytyy mahdollisesti lopettaa. Lääkäri saattaa käskeä sinua lopettamaan Vreya-valmisteen käytön useita viikkoja ennen leikkausta tai liikuntakykysi ollessa rajallinen. Lääkäri myös kertoo, milloin voit aloittaa uudelleen Vreya-valmisteen käyttämisen ollessasi jälleen jalkeilla.

Valtimoveritulppa

Valtimossa oleva veritulppa voi aiheuttaa vakavia ongelmia. Esimerkiksi veritulppa sydänvaltimossa voi aiheuttaa sydäninfarktin ja veritulppa aivoissa voi aiheuttaa aivohalvauksen.

Yhdistelmäehkäisytablettien käyttöön liittyy lisääntynyt valtimoveritulpan riski. Riski kasvaa edelleen:

  • iän myötä;
  • jos tupakoit. Hormonaalisen ehkäisyvalmisteen, kuten Vreya-valmisteen, käytön aikana on erittäin suositeltavaa lopettaa tupakointi, etenkin jos olet yli 35-vuotias;
  • jos olet ylipainoinen;
  • jos sinulla on korkea verenpaine;
  • jos lähisukulaisellasi on ollut nuorella iällä sydäninfarkti tai aivohalvaus;
  • jos sinulla on hyvin korkeat veren rasva-arvot (kolesteroli tai triglyseridi);
  • jos sinulla esiintyy migreenikohtauksia;
  • jos sinulla on sydänsairaus (läppävika, rytmihäiriö).

Veritulpan oireet

Lopeta tablettien ottaminen ja ota välittömästi yhteys lääkäriin, jos huomaat mahdollisen veritulpan merkkejä, kuten:

· äkillisesti alkanut, poikkeava yskä;

· voimakas rintakipu, joka saattaa säteillä vasempaan käsivarteen;

· hengästyminen;

· poikkeava, vaikea tai pitkittynyt päänsärky tai migreenin pahentuminen;

· osittainen tai täydellinen näönmenetys tai kaksoiskuvat;

· puheen puuroutuminen tai puhekyvyttömyys;

· äkilliset kuulo-, haju- tai makuaistin muutokset;

· huimaus tai pyörtyminen;

· jonkin ruumiinosan voimattomuus tai puutuneisuus;

· voimakas vatsakipu;

· voimakas jalkakipu tai jalan turvotus.

Veritulpasta toipuminen ei tapahdu aina täydellisesti. Harvoissa tapauksissa veritulppa voi aiheuttaa vakavan pysyvän haitan tai johtaa kuolemaan.

Heti synnytyksen jälkeen veritulppariski on suurentunut. Kysy lääkäriltä kuinka pian synnytyksen jälkeen voit aloittaa Vreya-valmisteen käytön.

Kerro lääkärille, jos jokin edellä mainituista koskee sinua, koska Vreya ei välttämättä sovellu sinulle tässä tapauksessa.

Muita sairauksia, joihin liittyy verisuonistohäiriön riski, ovat munasarjojen monirakkulatauti (polykystinen munasarjaoireyhtymä eli munasolujen kypsymisen häiriintyminen, johon liittyy myös liiallista karvankasvua), systeeminen lupus erythematosus eli SLE (autoimmuunisairaus), hemolyyttis-ureeminen oireyhtymä eli HUS (veritauti, joka aiheuttaa munuaisvian), krooninen tulehduksellinen suolistosairaus (Crohnin tauti tai haavainen paksusuolitulehdus) ja sirppisoluanemia (veritauti).

Vreya ja syöpä

Ehkäisytabletteja käyttävillä naisilla on todettu rintasyöpää hieman useammin kuin samanikäisillä naisilla, jotka eivät käytä ehkäisytabletteja. 10 vuoden kuluttua tablettien käytön lopettamisesta rintasyöpäriski on sama kuin naisilla, jotka eivät ole käyttäneet ehkäisytabletteja. Ei tiedetä, lisääkö ehkäisytablettien käyttö rintasyöpäriskiä. On mahdollista, että ehkäisytabletteja käyttävät naiset tutkitaan useammin ja rintasyöpä todetaan sen vuoksi aikaisemmin. Hoitotulokset ovat sitä parempia, mitä aiemmin syöpä havaitaan.

Harvoissa tapauksissa ehkäisytablettien käyttäjillä on todettu hyvänlaatuisia ja vielä harvemmin pahanlaatuisia maksakasvaimia. Maksakasvaimet voivat aiheuttaa hengenvaarallisen verenvuodon vatsaonteloon. Ota välittömästi yhteys lääkäriin, jos sinulla esiintyy ylävatsakipua.

Ehkäisytabletteja suhteellisen pitkään käyttäneillä naisilla todetaan kohdunkaulan syöpää tavallista useammin. Tämä ei kuitenkaan välttämättä liity ehkäisytabletteihin vaan seksuaalikäyttäytymiseen ja muihin tekijöihin. On edelleen epäselvää, miten suuri vaikutus ehkäisytableteilla on kohdunkaulan syövän kehittymiseen. On melko selvää, että kohdunkaulan syövän tärkein aiheuttaja on pitkittynyt HPV-infektio.

Ota yhteys lääkäriin, jos jokin näistä varoituksista koskee tai on aiemmin koskenut sinua.

Psyykkiset häiriöt:

Jotkut hormonaalisia ehkäisyvalmisteita, myös Vreya:ää käyttävät naiset ovat ilmoittaneet masennuksesta tai masentuneesta mielialasta. Masennus voi olla vakavaa ja aiheuttaa toisinaan myös itsetuhoisia ajatuksia. Jos koet mielialan muutoksia ja masennusoireita, ota mahdollisimman pian yhteyttä lääkäriin, jotta voit saada neuvontaa.

Muut sairaudet

Terveydentilasi huolellinen seuranta saattaa joissakin tapauksissa olla tarpeen, jos käytät yhdistelmäehkäisytabletteja. Kerro sen vuoksi lääkärille ennen Vreya-valmisteen käytön aloittamista, jos jokin seuraavista koskee sinua. Lääkäri kertoo sinulle riskin suuruudesta.

- jos sinulla on epilepsia;

- jos lähisukulaisellasi on tai on ollut rintasyöpä;

- jos sinulla on maksa- tai sappirakkosairaus;

- jos sinulla on perinnöllinen kuurouden muoto (otoskleroosi);

- jos sinulla on tai on ollut melasma (kellanruskeita läiskiä erityisesti kasvoissa, tunnetaan myös raskauden aiheuttamina maksaläiskiä). Vältä tällöin suoraa auringonvaloa ja ultraviolettisäteilyä;

- ota heti yhteys lääkäriin, jos sinulle ilmaantuu angioedeeman oireita, kuten kasvojen, kielen ja/tai nielun turvotusta ja/tai nielemisvaikeuksia tai nokkosihottumaa, johon voi liittyä hengitysvaikeuksia. Estrogeeneja sisältävät valmisteet saattavat aiheuttaa tai pahentaa perinnöllisen tai hankinnaisen angioedeeman oireita.

Ota yhteys lääkäriin, jos jokin yllä mainituista pahenee tai esiintyy ensimmäisen kerran Vreya-valmisteen käytön aikana.

Yleisiä huomioita

Tässä pakkausselosteessa on kerrottu monista tilanteista, jolloin Vreya-ehkäisytablettien käyttö on lopetettava tai jolloin niiden ehkäisyteho voi heikentyä.

Älä ole tällöin yhdynnässä ilman (ei-hormonaalista) lisäehkäisymenetelmää, kuten kondomia tai jotakin muuta estemenetelmää. Älä käytä rytmi- tai lämpömenetelmää, sillä ne ovat epäluotettavia, koska Vreya saattaa vaikuttaa ruumiinlämmön ja kohdunkaulan liman kuukautiskiertoon kuuluviin muutoksiin.

Ehkäisytabletit, kuten Vreya, eivät suojaa HIV-tartunnalta (AIDSilta) eivätkä muilta sukupuolitaudeilta.

Muut lääkevalmisteet ja Vreya

Kerro lääkärille tai apteekkihenkilökunnalle, jos parhaillaan käytät tai olet äskettäin käyttänyt tai saatat käyttää mitä tahansa muita lääkkeitä. He osaavat kertoa tarvitsetko jotakin muuta lisäehkäisyä (kuten kondomia) ja miten kauan sitä tulee jatkaa. He osaavat myös kertoa, tulisiko toisen tarvitsemasi lääkkeen käyttöä muuttaa.

Älä käytä Vreya-valmistetta, jos sinulla on hepatiitti C ja käytät lääkevalmisteita, jotka sisältävät ombitasviirin, paritapreviirin ja ritonaviirin yhdistelmää ja dasabuviiria, glekapreviirin ja pibrentasviirin yhdistelmää tai sofosbuviirin, velpatasviirin ja voksilapreviirin yhdistelmää, koska nämä valmisteet voi aiheuttaa maksan toimintakokeiden arvojen kohoamista verikokeissa (kohonnut ALAT -maksaentsyymiarvo).

Lääkäri määrää toisenlaisen ehkäisymenetelmän sinulle ennen kuin hoito näillä lääkevalmisteilla aloitetaan.

Jotkut lääkkeet

  • saattavat vaikuttaa Vreya-valmisteen pitoisuuteen veressä;
  • heikentää sen ehkäisytehoa;
  • aiheuttaa odottamatonta vuotoa.

Tällaisia lääkkeitä ovat muun muassa

  • lääkkeet, joita käytetään seuraavien hoidossa:
    • epilepsia (esim. primidoni, fenytoiini, barbituraatit, karbamatsepiini, okskarbatsepiini, topiramaatti);
    • tuberkuloosi (esim. rifampisiini);
    • HIV- ja C-hepatiittivirusinfektiot (ns. proteaasinestäjät ja non-nukleosidiset käänteistranskriptaasin estäjät, esim. ritonaviiri, nevirapiini ja efavirentsi);
    • sieni-infektiot (esim. griseofulviini, ketokonatsoli);
    • niveltulehdus, nivelrikko (etorikoksibi);
    • korkea verenpaine keuhkojen verisuonissa (bosentaani).
  • rohdosvalmiste mäkikuisma.

Vreya-valmiste saattaa vaikuttaa muiden lääkkeiden tehoon. Näitä ovat esim.

  • siklosporiinia sisältävät lääkkeet (käytetään elinsiirteen hyljinnän estoon) ja
  • lamotrigiini (epilepsialääke). Lamotrigiinin tehon heikkeneminen saattaa lisätä epilepsiakohtauksia.
  • teofylliini (käytetään hengitysvaikeuksien hoidossa)
  • titsanidiini (käytetään lihaskipujen ja/tai lihaskramppien hoidossa)

Lääkärisi määrää toisenlaisen ehkäisyvalmisteen sinulle ennen kuin hoito näillä lääkevalmisteilla aloitetaan.

Vreya-valmiste voidaan aloittaa uudelleen noin 2 viikkoa hoidon lopettamisen jälkeen. Katso kappale ”Älä ota Vreya-valmistetta”.

Kysy lääkäriltäsi tai apteekkihenkilökunnalta neuvoja ennen minkään lääkkeen ottamista.

Raskaus ja imetys

Vreya-valmistetta ei saa käyttää raskauden aikana.

Jos tulet raskaaksi Vreya-hoidon aikana, lopeta tablettien käyttö heti ja hakeudu lääkäriin. Jos haluat tulla raskaaksi, voit lopettaa Vreya -valmisteen käytön milloin tahansa (katso myös "Vreya-hoidon lopettamisen vaikutukset").

Vreya-valmistetta ei saa käyttää imetyksen aikana.

Kysy lääkäriltä tai apteekista neuvoa ennen minkään lääkkeen käyttöä raskauden tai imetyksen aikana.

Ajaminen ja koneiden käyttö

Ei ole viitteitä siitä, että Vreya vaikuttaisi ajokykyyn tai koneiden käyttökykyyn.

Vreya sisältää laktoosia ja sakkaroosia

Jos lääkäri on kertonut, että sinulla on jokin sokeri-intoleranssi, keskustele lääkärisi kanssa ennen tämän lääkevalmisteen ottamista.

3. Miten valmistetta käytetään

Käytön kesto 

Lääkäri kertoo, kuinka kauan sinun tulee käyttää Vreya-valmistetta.

Vreya ehkäisee raskautta. Älä käytä muita ehkäisytabletteja samanaikaisesti Vreyan kanssa.

Miten Vreya-valmistetta otetaan

Ota tabletit nesteen kera samaan aikaan joka päivä, mieluiten illalla.

Kussakin läpipainopakkauksessa on 21 tablettia. Aloita ottamalla tabletti, jonka kohdalle on merkitty aloituspäivän viikonpäivä. Jos esimerkiksi aloitat tablettien käytön keskiviikkona, ota ensimmäiseksi tabletti, jonka kohdalla on merkintä ”ke”. Ota tämän jälkeen yksi tabletti päivittäin nuolten osoittamassa järjestyksessä. Kun olet ottanut kaikki pakkauksen 21 tablettia, älä ota tabletteja 7 päivään. Kuukautisia muistuttava vuoto alkaa todennäköisesti tämän 7 päivän tablettitauon aikana. ns.. tyhjennysvuoto alkaa yleensä tablettitauon toisena tai kolmantena päivänä.

Aloita seuraava Vreya-pakkaus kahdeksantena päivänä viimeisen tabletin ottamisen jälkeen, vaikka vuoto jatkuisikin edelleen. Kukin uusi pakkaus alkaa samana viikonpäivänä kuin edellinen, ja myös kuukautiset alkavat suurin piirtein samana päivänä joka kuukausi.

Jos käytät tabletteja näiden ohjeiden mukaan, valmisteen ehkäisyteho säilyy myös 7 päivän tablettitauon ajan.

Ensimmäisen läpipainopakkauksen aloittaminen: 

  • Kun edeltävän kuukauden (edeltävien kuukausien) aikana ei ole käytetty ehkäisytabletteja Ota ensimmäinen ehkäisytabletti kierron ensimmäisenä päivänä (ensimmäisenä vuotopäivänä). Kun aloitat tablettien käytön ensimmäisenä vuotopäivänä, ehkäisyteho alkaa heti. Jos aloitat tablettien käytön 2.–5. vuotopäivänä, sinun on käytettävä lisäksi jotakin muuta ehkäisymenetelmää (kuten kondomia) ensimmäisten 7 päivän ajan.
  • Kun siirryt toisesta yhdistelmäehkäisytabletista Vreya-valmisteeseen Voit aloittaa Vreya-tablettien käytön edellisen ehkäisyvalmisteen viimeistä tablettia seuraavana päivänä (pitämättä taukoa pakkausten välillä). Jos aiempi ehkäisytablettipakkauksesi sisältää myös ei-aktiivisia tabletteja (joissa ei ole vaikuttavaa ainetta), aloita Vreya-tablettien käyttö viimeisen vaikuttavaa ainetta sisältävän tabletin ottoa seuraavana päivänä. (Jos et tiedä, mitkä tabletit sisältävät vaikuttavaa ainetta, kysy neuvoa lääkäriltä tai apteekista.) Jos olet käyttänyt aiempia ehkäisytabletteja ohjeiden mukaan, voit aloittaa Vreyan käytön myös myöhemmin, kuitenkin viimeistään aiemman valmisteen tavallista tablettitaukoa seuraavana päivänä (tai viimeisen ei-aktiivisen tabletin ottamista seuraavana päivänä).
  • Kun siirryt ehkäisyrenkaasta tai ehkäisylaastarista Vreya-valmisteeseen

Aloita Vreya-valmisteen käyttö ehkäisyrenkaan tai -laastarin käytön jälkeen mieluiten renkaan tai laastarin poistopäivänä, mutta viimeistään päivänä, jolloin uusi rengas tai laastari otettaisiin käyttöön.

  • Kun siirryt minipilleristä Vreya-valmisteeseen Voit lopettaa minipillerin käyttämisen milloin tahansa ja aloittaa Vreyan käytön seuraavana päivänä samaan aikaan. Sinun tulee kuitenkin käyttää lisäehkäisyä (kuten kondomia) ensimmäisten 7 päivän ajan.
  • Kun siirryt ehkäisyruiskeesta, ehkäisyimplantaatista tai ehkäisykierukasta Vreya-valmisteeseen Aloita Vreya-tablettien käyttö samana päivänä, jolloin sinun olisi määrä saada seuraava ruiske tai jolloin ehkäisyimplantaatti tai progesteronia vapauttava kierukka poistetaan. Sinun tulee kuitenkin käyttää lisäehkäisyä (kuten kondomia) ensimmäisten 7 päivän ajan.
  • Synnytyksen jälkeen Jos et imetä, aloita Vreya-hoito 21–28 päivää synnytyksen jälkeen. Jos aloitat myöhemmin, sinun tulee käyttää lisäehkäisynä jotakin estemenetelmää (esim. kondomia) ensimmäisten 7 päivän ajan. Jos olet ollut yhdynnässä, sulje pois raskauden mahdollisuus tai odota seuraaviin kuukautisiin ennen hoidon aloittamista.

Valmisteen käyttö imetyksen aikana, ks. kohta Raskaus ja imetys.

  • Keskenmenon tai abortin jälkeen Noudata lääkärin ohjeita.

Lääkäri kertoo sinulle, miten pitkään sinun tulee ottaa Vreya-tabletteja.

Hoidon pituus riippuu oireiden (ihon rasvaisuuden, aknen ja/tai liiallisen karvankasvun) vaikeusasteesta. Hoito kestää yleensä useita kuukausia.

Vreya-hoitoa suositellaan jatkettavaksi ainakin 3–4 kierron (“kuukauden”) ajan sen jälkeen, kun oireet ovat kokonaan parantuneet. Valmisteen käyttöä ei suositella jatkettavaksi pelkkänä ehkäisyvalmisteena.

Jos Vreya-valmisteen teho tuntuu liian voimakkaalta tai heikolta, kysy neuvoa lääkäriltä tai apteekkihenkilökunnalta.

Ota yhteys lääkäriin Vreya-hoidon uudelleenarviointia varten:

  • jos vaikean aknen tai seborrean oireet eivät ole lievittyneet 6 kuukauden hoidon aikana;
  • jos hirsutismin oireet eivät ole lievittyneet 12 kuukauden hoidon aikana.

Jos otat liian monta Vreya-tablettia 

Jos olet ottanut liian monta Vreya-tablettia, seurauksena voi olla pahoinvointia, oksentelua ja verenvuotoa emättimestä. Vakavia haittavaikutuksia ei ole havaittu liian monen Vreya-tabletin ottamisen jälkeen. Jos lapsi on ottanut monta tablettia, ota heti yhteys lääkäriin tai apteekkihenkilökuntaan.

Jos olet ottanut liian monta tablettia, ota heti yhteys lääkäriin tai apteekkihenkilökuntaan.

Jos olet ottanut liian suuren lääkeannoksen tai vaikkapa lapsi on ottanut lääkettä vahingossa, ota aina yhteyttä lääkäriin, sairaalaan tai Myrkytystietokeskukseen (puh. 0800 147 111) riskien arvioimiseksi ja lisäohjeiden saamiseksi.

Jos unohdat ottaa Vreya-tabletin 

1. Jos tabletin ottaminen myöhästyy alle 12 tuntia, valmisteen ehkäisyteho säilyy, jos otat unohtuneen tabletin heti ja seuraavat tabletit normaalina ottoajankohtana.

2. Jos tabletin ottaminen myöhästyy yli 12 tuntia, valmisteen ehkäisyteho saattaa heiketä. Jos unohdat useita tabletteja peräkkäin, ehkäisyteho saattaa heiketä entisestään.

Ehkäisytehon heikkenemisen riski on erityisen suuri, jos unohdat ottaa tabletteja läpipainopakkauksen alusta tai lopusta.

Noudata seuraavia ohjeita:

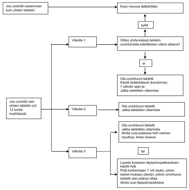
  • jos unohdit useamman kuin yhden tabletin samasta läpipainopakkauksesta Ota yhteys lääkäriin.
  • jos unohdit yhden tabletin viikolla 1 Ota unohtunut tabletti heti, vaikka joutuisitkin ottamaan kaksi tablettia yhtä aikaa. Ota seuraavat tabletit normaalina ottoajankohtana, mutta käytä lisäehkäisyä seuraavien 7 päivän ajan. Jos olit yhdynnässä tabletin unohtamista edeltäneen viikon aikana, raskauden mahdollisuus on olemassa. Kerro asiasta heti lääkärille.
  • jos unohdit yhden tabletin viikolla 2 Ota unohtunut tabletti heti, vaikka joutuisitkin ottamaan kaksi tablettia yhtä aikaa. Ota seuraavat tabletit normaalina ottoajankohtana. Tablettien ehkäisyteho säilyy, eikä lisäehkäisyä tarvita.

jos unohdit yhden tabletin viikolla 3 

Voit valita kahdesta vaihtoehdosta:

  1. Ota unohtunut tabletti heti, vaikka joutuisitkin ottamaan kaksi tablettia yhtä aikaa. Ota seuraavat tabletit normaalina ottoajankohtana. Aloita uusi läpipainopakkaus heti, kun nykyinen loppuu, jolloin tablettien ottamisen väliin ei jää taukoa. Tyhjennysvuotoa ei tule ennen seuraavan pakkauksen loppumista, mutta toisen pakkauksen aikana voi esiintyä tiputteluvuotoa tai läpäisyvuotoa.
  2. Lopeta tablettien ottaminen käytössä olleesta läpipainopakkauksesta ja pidä 7 päivän tauko (johon lasket mukaan myös päivän, jona unohdit ottaa tabletin). Jatka sitten uudella pakkauksella. Jos haluat aloittaa uuden pakkauksen tavanomaisena aloituspäivänäsi, voit pitää alle 7 päivän tauon.

Jos noudatat jompaakumpaa näistä kahdesta vaihtoehdosta, ehkäisyteho säilyy.

Jos olet unohtanut ottaa tabletteja ja kuukautiset eivät tule odotetusti ensimmäisen normaalin tablettitauon aikana, saatat olla raskaana. Keskustele lääkärin kanssa ennen kuin aloitat seuraavan läpipainopakkauksen.

Kaavakuvan muodossa tämä tarkoittaa seuraavaa:

 

Jos oksennat tai sinulla on vakava ripuli 

Jos oksennat tai sinulle kehittyy vakava ripuli 3–4 tunnin kuluessa tabletin ottamisesta, vaikuttavat aineet eivät ehkä ole ehtineet imeytyä kokonaan. Tämä vaikuttaa samalla tavalla kuin tabletin unohtaminen. Ota uusi tabletti varapakkauksesta mahdollisimman pian oksentamisen tai ripulin jälkeen, mielellään 12 tunnin kuluessa tavanomaisesta tabletin ottoajasta. Jos se ei ole mahdollista tai jos yli 12 tuntia on kulunut, noudata tabletin unohtamista koskevia ohjeita kohdassa Jos unohdat ottaa Vreya-tabletin.

Jos haluat siirtää kuukautisia 

Voit siirtää kuukautisiasi (tyhjennysvuotoa) aloittamalla uuden läpipainopakkauksen heti edellisen loputtua ilman tablettitaukoa. Voit jatkaa tablettien ottamista uuden pakkauksen loppuun saakka tai ottaa vain osan sen tableteista. Toisen pakkauksen aikana voi esiintyä tiputtelu- tai läpäisyvuotoa. Pidä pakkauksen jälkeen tavanomainen 7 päivän tablettitauko ja jatka uudella läpipainopakkauksella.

Jos haluat siirtää kuukautisten alkamispäivää 

Jos otat tabletit ohjeiden mukaan, kuukautiset/tyhjennysvuoto alkavat aina suunnilleen samana viikonpäivänä. Jos haluat muuttaa kuukautisten alkamispäivää, lyhennä (älä koskaan pidennä) tablettitaukoa läpipainopakkausten välillä. Esimerkiksi jos kuukautisesi alkavat yleensä perjantaina ja haluat niiden vastaisuudessa alkavan tiistaina (3 päivää aikaisemmin), sinun tulee aloittaa seuraava pakkaus 3 päivää tavallista aikaisemmin. Jos pidät hyvin lyhyen tablettitauon (esim. 3 päivää tai vähemmän), tauon aikana ei välttämättä tule vuotoa. Seuraavan pakkauksen käytön aikana voi esiintyä tiputtelu- tai läpäisyvuotoa.

Jos sinulla esiintyy odottamatonta vuotoa 

Kaikkien ehkäisytablettien käytön yhteydessä voi esiintyä epäsäännöllistä verenvuotoa emättimestä (tiputteluvuotoa tai läpäisyvuotoa) ensimmäisten kuukausien aikana. Kuukautissuojien käyttö voi olla tarpeen. Jatka tablettien käyttöä normaalisti. Epäsäännölliset vuodot loppuvat yleensä, kun elimistö on tottunut ehkäisytabletteihin (tavallisesti n. kolmen läpipainopakkauksen jälkeen). Jos epäsäännölliset vuodot jatkuvat, muuttuvat runsaiksi tai alkavat uudelleen, ota yhteys lääkäriin.

Jos kuukautiset jäävät tulematta Jos olet ottanut kaikki tabletit oikeaan aikaan etkä ole oksentanut tai käyttänyt muita lääkkeitä, on hyvin epätodennäköistä, että olisit raskaana. Voit jatkaa seuraavan pakkauksen käyttöä tavalliseen tapaan.

Jos kuukautiset jäävät tulematta kaksi kertaa peräkkäin, saatat olla raskaana. Kerro asiasta heti lääkärille. Älä aloita seuraavaa Vreya-läpipainopakkausta ennen kuin lääkäri on varmistanut, ettet ole raskaana.

Vreya-hoidon lopettamisen vaikutukset 

Jos lopetat Vreya-hoidon, oireet, joiden takia hoito aloitettiin, saattavat uusiutua.

Voit lopettaa Vreya-valmisteen käytön milloin tahansa. Muutaman päivän kuluttua tablettien lopettamisesta esiintyy todennäköisesti tyhjennysvuotoa kuten tablettitauon aikanakin. Se riippuu ennen lopettamista ottamiesi tablettien määrästä.

Jos et halua tulla raskaaksi, kysy lääkäriltä neuvoa muista luotettavista ehkäisymenetelmistä.

Jos toivot raskautta ja lopetat tablettien käytön, on raskauden yrittämistä parasta lykätä, kunnes sinulla on ollut yhdet kunnolliset kuukautiset (tämä ei tarkoita viimeisen tabletin jälkeen tulevaa tyhjennysvuotoa). Tällöin vauvan laskettu aika on helpompi laskea.

4. Mahdolliset haittavaikutukset

Kuten kaikki lääkkeet, tämäkin lääke voi aiheuttaa haittavaikutuksia. Kaikki eivät kuitenkaan niitä saa.

Vakavat haittavaikutukset 

Ehkäisytablettien käyttöön liittyvät vakavat haittavaikutukset on kuvattu edellä kohdissa Vreya ja tromboosi ja Vreya ja syöpä. Lue nämä kohdat ja ota tarvittaessa välittömästi yhteys lääkäriin.

Ota heti yhteys lääkäriin, jos sinulle ilmaantuu mikä tahansa seuraavista angioedeeman oireista: kasvojen, kielen ja/tai nielun turvotusta ja/tai nielemisvaikeuksia tai nokkosihottumaa, johon voi liittyä hengitysvaikeuksia (ks. myös kohta ”Varoitukset ja varotoimet”).

Muut mahdolliset haittavaikutukset 

Tablettien käyttäjät ovat ilmoittaneet seuraavia haittavaikutuksia. Haittavaikutuksia esiintyy lähinnä ensimmäisten käyttökuukausien aikana, ja ne häviävät yleensä jonkin ajan kuluttua.

Yleiset haittavaikutukset (1–10 käyttäjällä 100:sta)

  • päänsärky
  • painon muutokset (painonnousu)
  • vatsakipu
  • rintojen arkuus ja kipu
  • mielialan vaihtelut mukaan lukien masentuneisuus

Melko harvinaiset haittavaikutukset (1–10 käyttäjällä 1 000:sta)

  • migreeni
  • ihottuma
  • kutiava ihottuma
  • nesteen kertyminen elimistöön
  • rintojen suureneminen
  • sukupuolisen halun heikkeneminen

Harvinaiset haittavaikutukset (1–10 käyttäjällä 10 000:sta)

  • painon muutokset (painon lasku)
  • piilolinssien huono siedettävyys
  • ihottuma (kivuliaat punoittavat paukamat)
  • yliherkkyysreaktiot
  • emätinerite ja eritevuoto rinnoista
  • sukupuolisen halun voimistuminen
  • laskimoveritulppa

Tuntematon(koska saatavissa oleva tieto ei riitä arviointiin)

  • Kohonnut verenpaine

Jos sinulla on perinnöllinen angioedeema, tiettyjä naissukupuolihormoneja (estrogeeneja) sisältävät lääkkeet voivat indusoida tai pahentaa angioedeeman oireita (katso kappale ”Milloin sinun tulee ottaa yhteyttä lääkäriin”).

Haittavaikutuksista ilmoittaminen

Jos havaitset haittavaikutuksia, kerro niistä lääkärille tai apteekkihenkilökunnalle. Tämä koskee myös sellaisia mahdollisia haittavaikutuksia, joita ei ole mainittu tässä pakkausselosteessa. Voit ilmoittaa haittavaikutuksista myös suoraan seuraavalle taholle:

www‐sivusto: www.fimea.fi

Lääkealan turvallisuus‐ ja kehittämiskeskus Fimea

Lääkkeiden haittavaikutusrekisteri

PL 55

00034 Fimea

Ilmoittamalla haittavaikutuksista voit auttaa saamaan enemmän tietoa tämän lääkevalmisteen turvallisuudesta.

5. Valmisteen säilyttäminen

Ei lasten ulottuville eikä näkyville.

Älä käytä läpipainopakkauksessa ja ulkopakkauksessa mainitun viimeisen käyttöpäivämäärän jälkeen. Viimeinen käyttöpäivämäärä tarkoittaa kuukauden viimeistä päivää.

Lääkkeitä ei tule heittää viemäriin eikä hävittää talousjätteiden mukana. Kysy käyttämättömien lääkkeiden hävittämisestä apteekista. Näin menetellen suojelet luontoa.

6. Pakkauksen sisältö ja muuta tietoa

Mitä Vreya sisältää

Vaikuttavat aineet ovat syproteroniasetaatti ja etinyyliestradioli.

Yksi päällystetty tabletti sisältää 2 mg syproteroniasetaattia ja 0,035 mg etinyyliestradiolia.

Muut aineet ovat: Tabletin ydin: Laktoosimonohydraatti, maissitärkkelys, povidoni K25, magnesiumstearaatti (kasviperäinen), talkki.

Tabletin päällyste: Sakkaroosi, kalsiumkarbonaatti, makrogoli 6000, titaanidioksidi (E 171), povidoni K90, glyseroli 85 %, montaaniglykolivaha.

Lääkevalmisteen kuvaus ja pakkauskoot

Vreya-tabletit ovat valkoisia, pyöreitä, kaksoiskuperia, päällystettyjä tabletteja.

Tabletit on pakattu PVC-/alumiiniläpipainopakkauksiin, joissa on kussakin 21 päällystettyä tablettia. Läpipainopakkaukset on pakattu ulkopakkauksiin, joissa on 1, 3 tai 6 läpipainopakkausta.

Kaikkia pakkauskokoja ei välttämättä ole myynnissä.

Myyntiluvan haltija ja valmistaja

Myyntiluvan haltija

Stragen Nordic A/S, industrivej 24F, 3550 Slangerup, Tanska.

Tel: +45 48 10 88 10

Sähköposti: info@stragen.dk

Valmistaja

Haupt Pharma Münster GmbH, Schleebrüggenkamp 15, 48159 Münster, Saksa

Tämä pakkausseloste on tarkistettu viimeksi: 27.02.2025

Yrityksen yhteystiedot:

STRAGEN FINLAND
Regus Graniittitalo, Jaakonkatu 3B, 7krs.
00100 Helsinki
Suomi

info@stragen.fi
+358 45 159 2554
Tukkuliike: Magnum Medical