Mercilon tabletit
desogestreeli/etinyyliestradioli
Tärkeitä tietoja yhdistelmäehkäisyvalmisteista:
- Oikein käytettyinä ne ovat yksi luotettavimmista palautuvista raskaudenehkäisykeinoista.
- Ne hieman lisäävät laskimo- ja valtimoveritulppien riskiä erityisesti ensimmäisen käyttövuoden aikana tai kun yhdistelmäehkäisyvalmisteen käyttö aloitetaan uudelleen vähintään 4 viikon tauon jälkeen.
- Tarkkaile vointiasi ja mene lääkäriin, jos arvelet, että sinulla saattaa olla veritulpan oireita (ks. kohta Mitä sinun on tiedettävä ennen valmisteen käyttöä ”Veritulpat”).
Yleisiä ohjeita
Lue tämä pakkausseloste huolellisesti ennen kuin aloitat lääkkeen käyttämisen, sillä se sisältää sinulle tärkeitä tietoja.
- Säilytä tämä pakkausseloste. Voit tarvita sitä myöhemmin.
- Jos sinulla on kysyttävää, käänny lääkärin, apteekkihenkilökunnan tai sairaanhoitajan puoleen.
- Tämä lääke on määrätty vain sinulle eikä sitä tule antaa muiden käyttöön. Se voi aiheuttaa haittaa muille, vaikka heillä olisikin samanlaiset oireet kuin sinulla.
- Jos havaitset haittavaikutuksia, käänny lääkärin tai apteekkihenkilökunnan puoleen. Tämä koskee myös sellaisia mahdollisia haittavaikutuksia, joita ei ole mainittu tässä pakkausselosteessa. Ks. kohta Mahdolliset haittavaikutukset.
Tässä pakkausselosteessa kerrotaan
1. Mitä Mercilon on ja mihin sitä käytetään
2. Mitä sinun on tiedettävä, ennen kuin käytät Mercilon-valmistetta
- Älä käytä Mercilon-valmistetta
- Varoitukset ja varotoimet
- Ehkäisytabletit ja verisuonitukokset
- Ehkäisytabletit ja syöpä
- Lapset ja nuoret
- Muut lääkevalmisteet ja Mercilon
- Raskaus ja imetys
- Ajaminen ja koneiden käyttö
- Mercilon sisältää laktoosia
- Milloin sinun on otettava yhteys lääkäriin
3. Miten Mercilon-tabletteja käytetään
- Milloin ja miten tabletit otetaan
- Ensimmäisen Mercilon-pakkauksen aloittaminen
- Jos otat enemmän Mercilon-tabletteja kuin sinun pitäisi
- Jos unohdat ottaa Mercilon-tabletin
- Jos sinulla on ruuansulatuskanavan häiriöitä (esim. oksentelua, vaikea ripuli)
- Jos haluat muuttaa kuukautisten alkamispäivää
- Jos sinulla esiintyy ylimääräistä vuotoa
- Jos kuukautiset jäävät tulematta
- Jos haluat lopettaa Mercilon-tablettien käytön
4. Mahdolliset haittavaikutukset
5. Mercilon-tablettien säilyttäminen
6. Pakkauksen sisältö ja muuta tietoa
- Mitä Mercilon sisältää
- Lääkevalmisteen kuvaus ja pakkauskoot
- Myyntiluvan haltija ja valmistaja
1. Mitä valmiste on ja mihin sitä käytetään
Koostumus ja tablettityyppi
Mercilon on yhdistelmäehkäisytabletti (yhdistelmäpilleri). Jokainen tabletti sisältää pienen määrän kahta eri naishormonia, desogestreeliä (progestiini eli keltarauhashormoni) ja etinyyliestradiolia (estrogeeni). Mercilon on ns. pieniannoksinen ehkäisyvalmiste, koska se sisältää vain vähän hormoneja. Koska kaikki pakkauksen tabletit sisältävät saman määrän samoja hormoneja, Mercilonia kutsutaan yksivaiheiseksi ehkäisytabletiksi.
Mihin Mercilon-tabletteja käytetään
Mercilon-tabletteja käytetään raskauden ehkäisyyn.
Kun niitä käytetään oikein (unohtamatta tabletteja) raskauden mahdollisuus on hyvin pieni.
2. Mitä sinun on tiedettävä ennen valmisteen käyttöä
Yleistä
Ennen kuin aloitat Mercilon-valmisteen käyttämisen, lue veritulppia koskevat tiedot kohdasta Mitä sinun on tiedettävä ennen valmisteen käyttöä. On erityisen tärkeää, että luet veritulpan oireita kuvaavan kohdan – ks. kohta Mitä sinun on tiedettävä ennen valmisteen käyttöä “Veritulpat”.
Tässä pakkausselosteessa kuvataan useita tilanteita, jolloin ehkäisytablettien käyttö on lopetettava tai jolloin niiden luotettavuus saattaa heikentyä. Tällöin on pidättäydyttävä yhdynnästä tai käytettävä lisäksi ei-hormonaalista ehkäisymenetelmää, kuten kondomia tai muuta estemenetelmää. Älä käytä rytmimenetelmää tai peruslämmönmittausta. Nämä menetelmät eivät ole luotettavia, koska ehkäisytablettien käyttö vaikuttaa ruumiinlämpöön ja normaalisti kuukautiskierron aikana kohdunkaulan eritteessä tapahtuviin muutoksiin.
Mercilon-valmiste ei suojaa HIV-tartunnalta (AIDS) eikä muilta sukupuolitaudeilta, kuten eivät muutkaan ehkäisytabletit.
Mercilon-tabletit on määrätty sinulle henkilökohtaisesti. Älä anna niitä muille.
Mercilon-tabletteja ei ole tarkoitettu kuukautisten siirtämiseen. Jos kuitenkin haluat poikkeuksellisesti siirtää kuukautisiasi, ota yhteys lääkäriin.
Älä käytä Mercilon-valmistetta
Älä käytä Mercilon-valmistetta, jos sinulla on jokin alla mainituista tiloista. Jos sinulla on jokin alla mainituista tiloista, sinun on kerrottava siitä lääkärille. Lääkäri keskustelee kanssasi muista, sinulle paremmin soveltuvista ehkäisymenetelmistä. Katso myös kohta Mitä sinun on tiedettävä ennen valmisteen käyttöä ”Varoitukset ja varotoimet”
- jos sinulla on (tai on joskus ollut) veritulppa jalkojesi verisuonessa (syvä laskimotukos, SLT), keuhkoissa (keuhkoembolia) tai muualla elimistössä
- jos tiedät, että sinulla on jokin veren hyytymiseen vaikuttava sairaus – esimerkiksi C‑proteiinin puutos, S‑proteiinin puutos, antitrombiini III:n puutos, Faktori V Leiden tai fosfolipidivasta-aineita
- joudut leikkaukseen tai joudut olemaan vuodelevossa pitkän aikaa (ks. kohta ”Veritulpat")
- jos sinulla on joskus ollut sydänkohtaus tai aivohalvaus.
- jos sinulla on (tai on joskus ollut) angina pectoris (sairaus, joka aiheuttaa voimakasta rintakipua ja joka voi olla sydänkohtauksen ensimmäinen merkki) tai ohimenevä aivoverenkiertohäiriö (TIA – ohimenevän aivohalvauksen oireita)
- jos sinulla on jokin seuraavista sairauksista, jotka saattavat lisätä tukosten kehittymisen riskiä valtimoissasi:
- vaikea diabetes, johon liittyy verisuonivaurioita
- erittäin korkea verenpaine
- erittäin korkea veren rasvapitoisuus (kolesteroli tai triglyseridit)
- sairaus nimeltä hyperhomokystinemia (veren homokystiinirunsaus)
- jos sinulla on (tai on joskus ollut) niin sanottu aurallinen migreeni
- jos sinulla on tai on ollut haimatulehdus, johon on liittynyt korkeita veren rasva-arvoja.
- jos sinulla on keltaisuutta tai on (on ollut) vaikea maksasairaus eikä maksasi toimi vielä normaalisti.
- jos sinulla on tai on ollut syöpä, johon sukupuolihormonit vaikuttavat (esim. rintasyöpä tai sukupuolielinten syöpä).
- jos sinulla on tai on ollut maksakasvain.
- jos sinulla esiintyy tuntemattomasta syystä johtuvaa verenvuotoa emättimestä.
- jos sinulla on endometriumin hyperplasiaa (kohdun limakalvon epänormaalia kasvua).
- jos olet tai epäilet olevasi raskaana.
- jos olet allerginen etinyyliestradiolille tai desogestreelille tai tämän lääkkeen jollekin muulle aineelle (lueteltu kohdassa Pakkauksen sisältö ja muuta tietoa).
Jos sinulla esiintyy jokin yllä olevista sairauksista tai tiloista ensimmäistä kertaa tablettien käytön aikana, lopeta niiden käyttö heti ja ota yhteys lääkäriin. Käytä sillä välin ei-hormonaalista ehkäisymenetelmää. Ks. myös yllä kohta Yleistä.
Älä käytä Mercilon-valmistetta, jos sinulla on C-hepatiitti ja käytät lääkkeitä, jotka sisältävät ombitasviiri/paritapreviiri/ritonaviiri-yhdistelmää ja dasabuviiria tai glekapreviiri/pibrentasviiri-yhdistelmää (ks. myös kohta Mitä sinun on tiedettävä ennen valmisteen käyttöä Muut lääkevalmisteet ja Mercilon).
Varoitukset ja varotoimet
Milloin sinun pitää ottaa yhteyttä lääkäriin?
Hakeudu välittömästi lääkärin hoitoon
- jos huomaat mahdollisia veritulpan oireita, jotka saattavat merkitä, että sinulla on veritulppa jalassa (ts. syvä laskimotukos), veritulppa keuhkoissa (ts. keuhkoembolia), sydänkohtaus tai aivohalvaus (ks. kohta ”Veritulpat” alempana).
Näiden vakavien haittavaikutusten kuvaukset löydät kohdasta "Miten tunnistan veritulpan".
|
Keskustele lääkärin tai apteekkihenkilökunnan kanssa ennen kuin otat Mercilon-tabletteja.
Kerro lääkärille, jos jokin seuraavista tiloista koskee sinua:
Kerro lääkärille myös silloin, jos jokin näistä tiloista ilmaantuu tai pahenee sinä aikana, kun käytät Mercilon-valmistetta.
- jos tupakoit
- jos sinulla on diabetes
- jos olet ylipainoinen
- jos sinulla on korkea verenpaine
- jos sinulla on läppävika tai sydämen rytmihäiriö
- jos sinulla on ihonalainen verisuonitulehdus (pinnallinen laskimontukkotulehdus)
- jos sinulla on suonikohjuja
- jos lähisukulaisellasi on ollut tromboosi, sydäninfarkti tai aivohalvaus
- jos sinulla on migreeni
- jos sinulla on epilepsia
- jos sinulla on suurentunut veren rasva-arvo (hypertriglyseridemia) tai jos tätä tilaa on esiintynyt suvussasi. Hypertriglyseridemiaan on liitetty suurentunut haimatulehduksen (pankreatiitin) kehittymisen riski.
- jos joudut leikkaukseen tai joudut olemaan vuodelevossa pitkän aikaa (ks. kohta Mitä sinun on tiedettävä ennen valmisteen käyttöä ”Veritulpat”)
- jos olet äskettäin synnyttänyt, sinulla on suurentunut veritulppariski. Kysy lääkäriltä, kuinka pian synnytyksen jälkeen voit aloittaa Mercilon-valmisteen käytön.
- jos lähisukulaisellasi on ollut rintasyöpä
- jos sinulla on maksa- tai sappirakkosairaus
- jos sinulla on Crohnin tauti tai haavainen paksusuolentulehdus (krooninen tulehduksellinen suolistosairaus)
- jos sinulla on systeeminen lupus erythematosus (SLE – immuunijärjestelmään vaikuttava sairaus)
- jos sinulla on hemolyyttis-ureeminen oireyhtymä (HUS – munuaisten vajaatoimintaa aiheuttava veren hyytymishäiriö)
- jos sinulla on sirppisoluanemia (perinnöllinen, punasoluihin liittyvä sairaus)
- jos sinulla on tila, joka ilmeni ensimmäistä kertaa tai paheni raskauden aikana tai viime kerralla sukupuolihormoneja käytettäessä (esim. kuulonalenema, aineenvaihdunnan sairaus porfyria, ihosairaus herpes gestationis tai neurologinen sairaus Sydenhamin korea)
- jos sinulla esiintyy angioedeeman oireita, kuten kasvojen, kielen ja/tai kurkun turpoamista ja/tai nielemisvaikeuksia tai nokkosihottumaa, joihin voi liittyä hengitysvaikeuksia, ota heti yhteys lääkäriin. Estrogeeneja sisältävät valmisteet voivat aiheuttaa tai pahentaa perinnöllisen tai hankinnaisen angioedeeman oireita.
- jos sinulla on tai on ollut maksaläiskiä (kellanruskeita ihon pigmenttiläiskiä erityisesti kasvoissa). Vältä tällöin liiallista altistumista auringonvalolle ja ultraviolettisäteilylle.
Ota yhteys lääkäriin, jos jokin yllä mainituista esiintyy ensimmäisen kerran, toistuu tai pahenee tablettien käytön aikana.
Ehkäisytabletit ja verisuonitukokset
VERITULPAT
Yhdistelmäehkäisyvalmisteen, kuten esimerkiksi Mercilon-valmisteen, käyttö lisää riskiäsi saada veritulppa verrattuna niihin, jotka eivät käytä tällaista valmistetta. Harvinaisissa tapauksissa veritulppa voi tukkia verisuonet ja aiheuttaa vakavia haittoja.
Veritulppia voi kehittyä:
- laskimoihin (tällöin puhutaan laskimoveritulpasta, laskimotromboemboliasta tai VTE:sta)
- valtimoihin (tällöin puhutaan valtimoveritulpasta, valtimotromboemboliasta tai ATE:sta)
Veritulpista ei aina toivu täydellisesti. Harvinaisissa tapauksissa voi ilmetä vakavia, pysyviä vaikutuksia, ja erittäin harvoin ne voivat johtaa kuolemaan.
On tärkeää muistaa, että kokonaisriski saada vahingollinen veritulppa Mercilon-valmisteen käytön vuoksi on pieni.
MITEN TUNNISTAN VERITULPAN
Hakeudu välittömästi lääkärin hoitoon, jos huomaat jonkin seuraavista oireista tai merkeistä.
Onko sinulla jokin näistä merkeistä?
|
Mikä sairaus sinulla on mahdollisesti?
|
- toisen jalan turvotus tai laskimon myötäinen turvotus jalassa, varsinkin kun siihen liittyy:
- kivun tai arkuuden tunne jalassa, mikä saattaa tuntua ainoastaan seistessä tai kävellessä
- lisääntynyt lämmöntunne samassa jalassa
- jalan ihon värin muuttuminen esim. kalpeaksi, punaiseksi tai sinertäväksi
|
Syvä laskimoveritulppa
|
- äkillinen selittämätön hengenahdistus tai nopea hengitys
- äkillinen yskä ilman selvää syytä; yskän mukana voi tulla veriysköksiä
- pistävä rintakipu, joka voi voimistua syvään hengitettäessä
- vaikea pyörrytys tai huimaus
- nopea tai epäsäännöllinen sydämen syke
- vaikea vatsakipu
Jos olet epävarma, keskustele asiasta lääkärin kanssa, sillä jotkin näistä oireista (esim. yskä ja hengenahdistus), voidaan sekoittaa lievempiin sairauksiin kuten hengitystieinfektioon (esim. tavalliseen flunssaan).
|
Keuhkoembolia (keuhkoveritulppa)
|
Oireita esiintyy yleensä yhdessä silmässä:
- välitön näön menetys tai
- kivuton näön hämärtyminen, mikä voi edetä näön menetykseen
|
Verkkokalvon laskimotukos (veritulppa silmässä)
|
- rintakipu, epämiellyttävä olo, paineen tunne, painon tunne
- puristuksen tai täysinäisyyden tunne rinnassa, käsivarressa tai rintalastan takana
- täysinäisyyden tunne, ruoansulatushäiriöt tai tukehtumisen tunne
- ylävartalossa epämiellyttävä olo, joka säteilee selkään, leukaan, kurkkuun, käsivarteen ja vatsaan
- hikoilu, pahoinvointi, oksentelu tai huimaus
- erittäin voimakas heikkouden tunne, ahdistuneisuus ja hengenahdistus
- nopea tai epäsäännöllinen sydämen syke
|
Sydänkohtaus
|
- äkillinen kasvojen, käsivarsien tai jalkojen tunnottomuus, tai heikkous varsinkin vartalon yhdellä puolella
- äkillinen sekavuus, puhe- tai ymmärtämisvaikeudet
- äkillinen näön heikentyminen joko toisessa tai molemmissa silmissä
- äkillinen kävelyn vaikeutuminen, huimaus, tasapainon tai koordinaationmenetys
- äkillinen, vaikea tai pitkittynyt päänsärky, jolle ei tiedetä syytä
- tajunnan menetys tai pyörtyminen, johon saattaa liittyä kouristuskohtaus
Joskus aivohalvauksen oireet voivat olla lyhytkestoisia ja toipuminen niistä lähes välitöntä ja täydellistä. Sinun pitää silti hakeutua välittömästi lääkäriin, koska vaarana voi olla toinen aivohalvaus.
|
Aivohalvaus
|
- raajan turvotus ja lievä sinerrys
- voimakas vatsakipu (akuutti vatsa)
|
Muita verisuonia tukkivat veritulpat
|
LASKIMOVERITULPAT
Mitä voi tapahtua, jos laskimoon kehittyy veritulppa?
- Yhdistelmäehkäisyvalmisteiden käyttöön on liitetty laskimoveritulppien (laskimotromboosien) lisääntynyt riski. Nämä haittavaikutukset ovat kuitenkin harvinaisia. Useimmin niitä esiintyy yhdistelmäehkäisyvalmisteen ensimmäisen käyttövuoden aikana.
- Jos jalan laskimossa kehittyy veritulppa, se voi aiheuttaa syvän laskimotukoksen (SLT).
- Jos hyytymä lähtee liikkeelle jalasta ja asettuu keuhkoihin, se voi saada aikaan keuhkoveritulpan (keuhkoembolia).
- Hyvin harvoin tällainen hyytymä voi kehittyä jonkin toisen elimen laskimoon, esim. silmään (verkkokalvon laskimoveritulppa).
Milloin laskimoveritulpan kehittymisen riski on suurin?
Laskimoveritulpan kehittymisen riski on suurimmillaan ensimmäisen vuoden aikana, kun käytät yhdistelmäehkäisyvalmistetta ensimmäistä kertaa elämässäsi. Riski voi olla suurempi myös silloin, jos aloitat yhdistelmäehkäisyvalmisteen käyttämisen uudelleen (sama valmiste tai eri valmiste) vähintään 4 viikon tauon jälkeen.
Ensimmäisen vuoden jälkeen riski pienenee, mutta se on aina hieman suurempi kuin silloin, kun yhdistelmäehkäisyvalmistetta ei käytetä.
Kun lopetat Mercilon-valmisteen käytön, veritulppariski palautuu normaalille tasolle muutaman viikon kuluessa.
Kuinka suuri on veritulpan kehittymisen riski?
Tämä riski riippuu yksilöllisestä veritulppariskistäsi ja käyttämäsi yhdistelmäehkäisyvalmisteen tyypistä.
Riski veritulpan kehittymiselle jalkaan (syvä laskimotukos) tai keuhkoihin (keuhkoveritulppa) on kaiken kaikkiaan pieni Mercilon-valmistetta käytettäessä.
- Noin kahdelle naiselle 10 000:sta, jotka eivät käytä mitään yhdistelmäehkäisyvalmistetta eivätkä ole raskaana, kehittyy veritulppa vuoden aikana.
- Noin 5–7 naiselle 10 000:sta, jotka käyttävät levonorgestreelia tai noretisteronia tai norgestimaattia sisältävää yhdistelmäehkäisyvalmistetta, kehittyy veritulppa vuoden aikana.
- Noin 9–12 naiselle 10 000:sta, jotka käyttävät desogestreeliä sisältävää yhdistelmäehkäisyvalmistetta, kuten esimerkiksi Mercilon-valmistetta, kehittyy veritulppa vuoden aikana.
- Veritulpan saamisen riski vaihtelee oman sairaushistoriasi mukaan (ks. jäljempää kohta "Tekijöitä, jotka lisäävät riskiäsi saada laskimoveritulpan").
|
Veritulpan saamisen riski vuoden aikana
|
Naiset, jotka eivät käytä mitään yhdistelmäehkäisytablettia/-laastaria/-rengasta eivätkä ole raskaana
|
noin 2 naista 10 000:sta
|
Naiset, jotka käyttävät levonorgestreelia, noretisteronia tai norgestimaattia sisältävää yhdistelmäehkäisyvalmistetta
|
noin 5–7 naista 10 000:sta
|
Naiset, jotka käyttävät Mercilon‑valmistetta
|
noin 9–12 naista 10 000:sta
|
Tekijöitä, jotka lisäävät riskiäsi saada laskimoveritulpan
Veritulpan riski on Mercilon-valmistetta käytettäessä pieni, mutta jotkin tilat tai sairaudet suurentavat riskiä. Riskisi on suurempi:
- jos olet merkittävästi ylipainoinen (painoindeksi eli BMI yli 30 kg/m2)
- jollakin lähisukulaisellasi on ollut veritulppa jalassa, keuhkoissa tai muussa elimessä nuorella iällä (esim. alle 50-vuotiaana). Tässä tapauksessa sinulla saattaa olla perinnöllinen veren hyytymishäiriö.
- jos joudut leikkaukseen tai jos joudut olemaan vuodelevossa pitkään jonkin vamman tai sairauden takia, tai jos sinulla on kipsi jalassa. Mercilon-valmisteen käyttö on ehkä lopetettava muutamaa viikkoa ennen leikkausta tai sitä aikaa, jolloin et pääse juurikaan liikkumaan. Jos sinun pitää lopettaa Mercilon-valmisteen käyttö, kysy lääkäriltä, milloin voit aloittaa käytön uudelleen.
- iän myötä (erityisesti yli 35-vuotiailla)
- jos olet synnyttänyt muutaman viikon sisällä.
Veritulpan kehittymisen riski suurenee sen myötä, mitä enemmän erilaisia sairauksia tai tiloja sinulla on.
Lentomatka (> 4 tuntia) saattaa väliaikaisesti lisätä veritulpan riskiä, erityisesti jos sinulla on jokin toinen luettelossa mainittu riskitekijä.
On tärkeää kertoa lääkärille, jos jokin näistä tiloista koskee sinua, myös vaikka olisit epävarma asiasta. Lääkäri saattaa päättää, että sinun on lopetettava Mercilon-valmisteen käyttö.
Kerro lääkärille, jos jokin yllä olevista tiloista muuttuu sinä aikana, kun käytät Mercilon-valmistetta, esimerkiksi lähisukulaisella todetaan verisuonitukos, jonka syytä ei tiedetä, tai painosi lisääntyy huomattavasti.
VALTIMOVERITULPAT
Mitä voi tapahtua, jos valtimoon kehittyy veritulppa?
Kuten laskimossa oleva veritulppa, valtimoonkin kehittynyt veritulppa voi aiheuttaa vakavia ongelmia. Se voi esimerkiksi aiheuttaa sydänkohtauksen tai aivohalvauksen.
Tekijöitä, jotka lisäävät riskiäsi saada valtimoveritulpan
On tärkeää huomata, että Mercilon-valmisteen käyttämisestä johtuvan sydänkohtauksen tai aivohalvauksen riski on hyvin pieni, mutta se voi suurentua:
- iän myötä (noin 35 ikävuoden jälkeen)
- jos tupakoit. Kun käytät yhdistelmäehkäisyvalmistetta, kuten esimerkiksi Mercilon-valmistetta, tupakoinnin lopettaminen on suositeltavaa. Jos et pysty lopettamaan tupakointia ja olet yli 35-vuotias, lääkäri kehottaa sinua käyttämään muun tyyppistä raskaudenehkäisyä.
- jos olet ylipainoinen
- jos sinulla on korkea verenpaine
- jos jollakin lähisukulaisellasi on ollut sydänkohtaus tai aivohalvaus nuorella iällä (alle 50-vuotiaana). Tässä tapauksessa myös sinulla voi olla suurempi sydänkohtauksen tai aivohalvauksen riski.
- jos sinulla tai jollakin lähisukulaisellasi on korkea veren rasvapitoisuus (kolesteroli tai triglyseridit)
- jos sinulla on migreenikohtauksia, erityisesti aurallisia
- jos sinulla on jokin sydänsairaus (läppävika tai rytmihäiriö, jota kutsutaan eteisvärinäksi)
- jos sinulla on diabetes.
Jos yllämainituista tiloista useampi kuin yksi koskee sinua, tai jos yksikin niistä on erityisen vaikea, veritulpan saamisen riski voi olla vieläkin suurempi.
Kerro lääkärille, jos jokin yllä olevista tiloista muuttuu sinä aikana, kun käytät Mercilon- valmistetta, esimerkiksi aloitat tupakoinnin, lähisukulaisella todetaan verisuonitukos, jonka syytä ei tiedetä, tai painosi lisääntyy huomattavasti.
Ehkäisytabletit ja syöpä
Ehkäisytabletteja käyttävillä naisilla on todettu rintasyöpää hieman useammin kuin samanikäisillä naisilla, jotka eivät käytä ehkäisytabletteja. Tämä rintasyöpädiagnoosien määrässä tapahtuva vähäinen kasvu häviää vähitellen tablettien käytön lopettamista seuraavien 10 vuoden aikana. Ei tiedetä, johtuuko ero ehkäisytablettien käytöstä. On mahdollista, että ehkäisytabletteja käyttäviä naisia tutkittiin useammin ja rintasyöpä todettiin sen vuoksi aikaisemmin.
Harvoissa tapauksissa ehkäisytablettien käyttäjillä on todettu hyvänlaatuisia ja vielä harvemmin pahanlaatuisia maksakasvaimia. Kasvaimet voivat aiheuttaa sisäisen verenvuodon. Ota heti yhteys lääkäriin, jos sinulla esiintyy voimakasta vatsakipua.
Papilloomavirusinfektio (HPV) aiheuttaa kohdunkaulan syöpää. Sitä on todettu hieman enemmän naisilla, jotka ovat käyttäneet ehkäisytabletteja pitkään. Ei tiedetä, johtuuko tämä ehkäisytableteista, sukupuolikäyttäytymisestä vai muista tekijöistä (kuten tiheämmästä papa-kontrollista).
Psyykkiset häiriöt
Jotkut hormonaalisia ehkäisyvalmisteita, myös Mercilonia käyttävät naiset ovat ilmoittaneet masennuksesta tai masentuneesta mielialasta. Masennus voi olla vakavaa ja aiheuttaa toisinaan myös itsetuhoisia ajatuksia. Jos koet mielialan muutoksia ja masennusoireita, ota mahdollisimman pian yhteyttä lääkäriin, jotta voit saada neuvontaa.
Lapset ja nuoret
Turvallisuutta ja tehoa alle 18-vuotiailla nuorilla ei ole tutkittu.
Muut lääkevalmisteet ja Mercilon
Kerro aina lääkärille, mitä muita lääkkeitä tai kasvirohdosvalmisteita käytät. Kerro myös muulle sinulle lääkkeitä määräävälle lääkärille tai hammaslääkärille (tai apteekkihenkilökunnalle), että käytät Mercilon-tabletteja. Näin he osaavat kertoa sinulle, tarvitsetko lisäehkäisyä (esim. kondomia) ja kuinka kauan, tai onko muuta sinulle annettavaa lääkehoitoa muutettava.
Jotkut lääkkeet
- saattavat vaikuttaa Mercilon-valmisteen sisältämien aineiden pitoisuuksiin veressä
- voivat heikentää sen raskaudenehkäisytehoa
- voivat aiheuttaa epäsäännöllisiä vuotoja.
Näitä lääkkeitä ovat mm.
- epilepsialääkkeet (esim. primidoni, fenytoiini, fenobarbitaali, karbamatsepiini, okskarbatsepiini, topiramaatti, felbamaatti)
- tuberkuloosilääkkeet (esim. rifampisiini, rifabutiini)
- HIV-lääkkeet (esim. ritonaviiri, nelfinaviiri, nevirapiini, efavirentsi)
- C-hepatiittiviruksen hoitoon käytettävät lääkkeet (esim. bosepreviiri, telapreviiri)
- muiden infektiotautien hoitoon käytettävät lääkkeet (esim. griseofulviini)
- keuhkoverisuonten verenpainetaudin hoitoon tarkoitetut lääkkeet (bosentaani)
- masennuksen hoitoon käytettävät kasvirohdosvalmisteet (mäkikuisma).
Jos käytät lääke- tai kasvirohdosvalmisteita, jotka saattavat vähentää Mercilon-tablettien tehoa, on sinun käytettävä myös lisäehkäisyä. Koska muilla lääkkeillä voi olla vaikutuksia Mercilon-tablettien tehoon jopa 28 päivää lääkityksen lopettamisen jälkeen, on lisäehkäisyn käyttöä jatkettava siihen saakka.
Mercilon voi vaikuttaa muiden lääkkeiden tehoon, esim.
- siklosporiinia sisältävät lääkkeet
- epilepsian hoidossa käytettävä lamotrigiini (tämä saattaa lisätä kohtausten määrää).
Älä käytä Mercilon-valmistetta, jos sinulla on C-hepatiitti ja käytät lääkkeitä, jotka sisältävät ombitasviiri/paritapreviiri/ritonaviiri-yhdistelmää ja dasabuviiria tai glekapreviiri/pibrentasviiri-yhdistelmää, sillä tämä saattaa nostaa maksan toimintaa mittaavien verikokeiden tuloksia (maksan ALAT-entsyymiarvo nousee).
Lääkäri määrää sinulle toisentyyppisen ehkäisyvalmisteen ennen kuin aloitat näiden lääkkeiden käytön.
Mercilon-valmisteen käyttö voidaan aloittaa uudelleen noin 2 viikon kuluttua hoidon loputtua. Ks. kohta Mitä sinun on tiedettävä ennen valmisteen käyttöä Älä käytä Mercilon-valmistetta.
Laboratoriotutkimukset
Jos sinulle tehdään veri- tai virtsakokeita, kerro terveydenhoitohenkilöstölle, että käytät Mercilon-valmistetta, koska se voi vaikuttaa joidenkin testien tuloksiin.
Raskaus ja imetys
Raskaus
Mercilon-tabletteja ei saa käyttää raskauden aikana tai epäiltäessä raskautta. Jos epäilet olevasi raskaana kun jo käytät Mercilon-tabletteja, ota yhteyttä lääkäriin niin pian kuin mahdollista.
Imetys
Mercilon-tablettien käyttöä ei yleensä suositella imetyksen aikana. Jos haluat käyttää ehkäisytabletteja imetyksen aikana, kysy neuvoa lääkäriltä.
Ajaminen ja koneiden käyttö
Ehkäisytableteilla ei ole todettu vaikutuksia näihin toimintoihin.
Mercilon sisältää laktoosia
Mercilon sisältää laktoosia. Jos lääkäri on kertonut, että sinulla on jokin sokeri-intoleranssi, keskustele lääkärin kanssa ennen tämän lääkevalmisteen ottamista.
Milloin sinun on otettava yhteys lääkäriin
Säännölliset lääkärintarkastukset
Käyttäessäsi ehkäisytabletteja sinun tulee käydä säännöllisesti lääkärintarkastuksessa. Tutkimuksissa tulee tavallisesti käydä kerran vuodessa.
Ota mahdollisimman pian yhteys lääkäriin, jos:
- huomaat mahdollisia veritulpan merkkejä, jolloin sinulla voi olla veritulppa jalassa (syvä laskimotromboosi), keuhkoissa (keuhkoembolia), sydänkohtaus tai aivohalvaus (ks. kohta ”VERITULPAT” yllä). Näiden vakavien haittavaikutusten oireet kuvataan kohdassa ”MITEN TUNNISTAN VERITULPAN”
- huomaat muutoksia terveydentilassasi, erityisesti jos ne liittyvät tässä pakkausselosteessa mainittuihin seikkoihin (ks. myös kohta Mitä sinun on tiedettävä ennen valmisteen käyttöä ja erityisesti alakohta ”Älä käytä Mercilon-valmistetta”) Huomioi myös lähisukulaisten terveydentilassa esiintyvät muutokset.
- tunnet kyhmyn rinnassasi
- sinulla esiintyy angioedeeman oireita, kuten kasvojen, kielen ja/tai kurkun turpoamista ja/tai nielemisvaikeuksia tai nokkosihottumaa, joihin voi liittyä hengitysvaikeuksia (ks. myös kohta Mitä sinun on tiedettävä ennen valmisteen käyttöä ”Varoitukset ja varotoimet”).
- aiot käyttää muita lääkkeitä (ks. myös kohta Mitä sinun on tiedettävä ennen valmisteen käyttöä ”Muut lääkevalmisteet ja Mercilon”).
- joudut vuodepotilaaksi tai menet leikkaukseen (ota yhteys lääkäriin vähintään neljä viikkoa aikaisemmin).
- sinulla esiintyy epätavallista, runsasta verenvuotoa emättimestä.
- unohdit ottaa tabletteja pakkauksen ensimmäisen käyttöviikon aikana ja olit yhdynnässä edeltävien seitsemän päivän aikana.
- sinulla on voimakasta ripulia
- kuukautiset jäävät tulematta kaksi kertaa peräkkäin tai epäilet olevasi raskaana (älä aloita seuraavaa läpipainopakkausta, ennen kuin lääkäri antaa luvan).
3. Miten valmistetta käytetään
9 Käytä tätä lääkettä juuri siten kuin lääkäri on määrännyt tai apteekkihenkilökunta on neuvonut. Tarkista ohjeet lääkäriltä tai apteekista, jos olet epävarma.
Milloin ja miten tabletit otetaan
Läpipainopakkauksessa on 21 tablettia. Jokaisen tabletin kohdalle on merkitty se viikonpäivä, jolloin tabletti otetaan.
Ota tabletti joka päivä suunnilleen samaan aikaan, tarvittaessa nesteen kera. Jatka tablettien ottamista nuolten suuntaan, kunnes kaikki 21 tablettia on otettu. Seuraavien 7 päivän aikana ei oteta tabletteja. Kuukautiset (tyhjennysvuoto) tulevat näiden 7 päivän kuluessa, yleensä 2–3 päivän kuluttua viimeisen Mercilon-tabletin ottamisesta. Aloita seuraava läpipainopakkaus 8. päivänä, vaikka kuukautiset jatkuisivat. Näin aloitat uuden pakkauksen aina samana viikonpäivänä ja tyhjennysvuoto tulee suunnilleen samaan aikaan joka kuukausi.
Ensimmäisen Mercilon-pakkauksen aloittaminen
- Kun edeltävän kuukauden aikana ei ole käytetty hormonaalista ehkäisyvalmistetta
Aloita Mercilon-tablettien käyttö kuukautiskierron ensimmäisenä päivänä, eli ensimmäisenä vuotopäivänä. Mercilon alkaa vaikuttaa heti. Lisäehkäisyn käyttö ei ole tarpeen.
Voit aloittaa tablettien käytön myös kuukautiskierron 2.–5. päivänä, mutta siinä tapauksessa sinun on käytettävä lisäksi jotain muuta ehkäisymenetelmää (estemenetelmää) ensimmäisen kierron 7 ensimmäisen tablettipäivän ajan.
- Kun siirryt toisesta hormonaalisesta yhdistelmäehkäisyvalmisteesta (yhdistelmäehkäisytabletti, emätinrengas tai ehkäisylaastari) Merciloniin
Voit aloittaa Mercilon-tablettien käytön seuraavana päivänä, kun olet ottanut nykyisin käyttämäsi ehkäisyvalmisteen viimeisen tabletin (eli valmisteiden välillä ei pidetä taukoa). Jos nykyinen ehkäisyvalmistepakkauksesi sisältää myös tabletteja, joissa ei ole vaikuttavaa ainetta, voit aloittaa Mercilon-tablettien käytön seuraavana päivänä, kun olet ottanut viimeisen vaikuttavaa ainetta sisältävän tabletin (jos et tiedä, mikä tabletti on kyseessä, kysy lääkäriltä tai apteekkihenkilökunnalta). Voit aloittaa Mercilon-tablettien käytön myöhemminkin, mutta sen on tapahduttava viimeistään aiemman valmisteen käytössä pidettävää taukoa seuraavana päivänä (tai nykyisen ehkäisyvalmisteesi viimeisen vaikuttavaa ainetta sisältämättömän tabletin ottamista seuraavana päivänä). Jos käytät emätinrengasta tai ehkäisylaastaria, aloita Mercilon-tablettien käyttö mieluiten poistamispäivänä, mutta viimeistään silloin kun seuraava rengas tai laastari olisi otettu käyttöön.
Jos olet käyttänyt ehkäisytabletteja, -laastareita tai -rengasta johdonmukaisesti ja oikein, ja olet varma siitä, ettet ole raskaana, voit lopettaa ehkäisytablettien, -laastarin tai -renkaan käytön minä päivänä tahansa ja aloittaa Mercilon-tablettien käytön heti.
Jos noudatat näitä ohjeita, lisäehkäisy ei ole tarpeen.
- Kun siirryt pelkkää progestiinia sisältävästä valmisteesta (minipilleri) Merciloniin
Voit lopettaa minipillerien käytön milloin tahansa ja aloittaa Mercilon-tablettien käytön samaan aikaan seuraavana päivänä. Lisäksi sinun tulee käyttää yhdynnässä lisäehkäisyä (estemenetelmää) ensimmäisen kierron 7 ensimmäisen tablettipäivän ajan.
- Kun siirryt ehkäisyruiskeesta, ehkäisykapselista tai progestiinia vapauttavasta kohdunsisäisestä ehkäisimestä (IUD) Merciloniin
Aloita Mercilon-tablettien käyttö, kun sinun olisi määrä saada seuraava ruiske tai sinä päivänä, jolloin ehkäisykapseli tai kohdunsisäinen ehkäisin poistetaan. Lisäksi sinun tulee käyttää yhdynnässä lisäehkäisyä (estemenetelmää) ensimmäisen kierron 7 ensimmäisen tablettipäivän ajan.
Jos olet juuri synnyttänyt, lääkäri voi kehottaa sinua odottamaan ensimmäisiä normaaleja kuukautisia, ennen kuin alat käyttää Mercilon-tabletteja. Joskus tablettien käyttö voidaan aloittaa aikaisemminkin. Lääkäri neuvoo sinua. Jos haluat käyttää Mercilon-tabletteja imetyksen aikana, keskustele ensin lääkärin kanssa.
- Keskenmenon tai abortin jälkeen
Kysy neuvoa lääkäriltä.
Jos otat enemmän Mercilon-tabletteja kuin sinun pitäisi
Mercilon-tablettien yliannostuksen yhteydessä ei ole ilmoitettu vakavista haittavaikutuksista. Usean tabletin ottaminen samanaikaisesti voi aiheuttaa pahoinvointia, oksentelua ja verenvuotoa emättimestä.
Jos olet ottanut liian suuren lääkeannoksen tai vaikkapa lapsi on ottanut lääkettä vahingossa, ota aina yhteyttä lääkäriin, sairaalaan tai Myrkytystietokeskukseen (puh. 0800 147 111) riskien arvioimiseksi ja lisäohjeiden saamiseksi.
Jos unohdat ottaa Mercilon-tabletin
- Jos tabletin ottaminen myöhästyy alle 12 tuntia, valmisteen ehkäisyteho säilyy. Ota tabletti heti kun muistat ja ota seuraavat tabletit normaaliin aikaan.
- Jos tabletin ottaminen myöhästyy yli 12 tuntia, valmisteen ehkäisyteho saattaa heiketä. Mitä useamman peräkkäisen tabletin unohdat, sitä suurempi on ehkäisytehon heikkenemisen riski. Raskaaksi tulemisen riski on erityisen suuri, jos unohdat ottaa tabletteja pakkauksen alku- tai loppupäästä. Noudata sen vuoksi alla olevia ohjeita (ks. myös jäljempänä olevaa kaaviota).
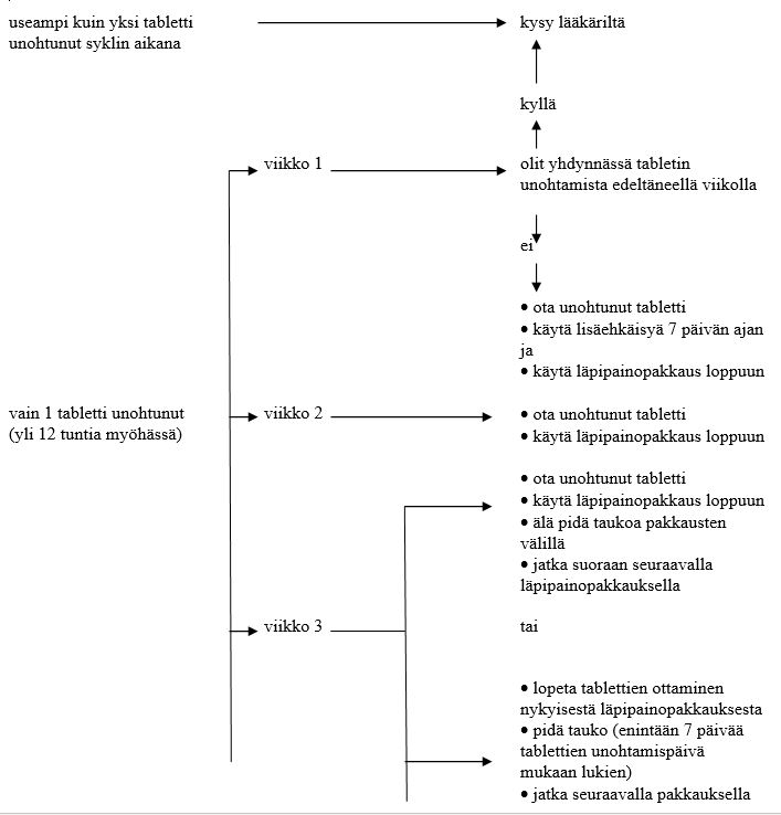
Olet unohtanut enemmän kuin yhden tabletin pakkausta kohti
Kysy neuvoa lääkäriltä.
Yksi tabletti on unohtunut 1. viikolla
Ota unohtunut tabletti heti kun muistat (vaikka joutuisitkin ottamaan kaksi tablettia samalla kertaa) ja ota seuraavat tabletit normaaliin aikaan. Käytä lisäehkäisyä (estemenetelmää) seuraavien 7 päivän ajan.
Jos olit yhdynnässä tabletin unohtamista edeltäneen viikon aikana, raskaus on mahdollinen. Kerro asiasta heti lääkärille.
Yksi tabletti on unohtunut 2. viikolla
Ota unohtunut tabletti heti kun muistat (vaikka joutuisitkin ottamaan kaksi tablettia samalla kertaa) ja ota seuraavat tabletit normaaliin aikaan. Tablettien ehkäisyteho säilyy, eikä lisäehkäisyä tarvita.
Yksi tabletti on unohtunut 3. viikolla
Voit valita seuraavista vaihtoehdoista. Lisäehkäisyä ei tarvita.
1. Ota unohtunut tabletti heti kun muistat (vaikka joutuisitkin ottamaan kaksi tablettia samalla kertaa) ja ota seuraavat tabletit normaaliin aikaan. Aloita uusi läpipainopakkaus heti, kun nykyinen loppuu, niin että tablettien ottamisen väliin ei jää taukoa. Tyhjennysvuoto voi jäädä tulematta ennen seuraavan pakkauksen loppumista, mutta tablettien käytön aikana voi esiintyä tiputteluvuotoa tai läpäisyvuotoa.
tai
2. Lopeta tablettien ottaminen käytössä olleesta läpipainopakkauksesta ja pidä enintään 7 päivän tauko (laske mukaan myös päivä, jona unohdit ottaa tabletin) ja jatka sitten uudella pakkauksella. Voit siten aloittaa seuraavan pakkauksen samana viikonpäivänä kuin yleensä.
- Jos olet unohtanut ottaa tabletteja, ja kuukautiset eivät tule odotetusti ensimmäisen normaalin tauon aikana, saatat olla raskaana. Keskustele lääkärin kanssa, ennen kuin aloitat seuraavan läpipainopakkauksen.

Jos sinulla on ruuansulatuskanavan häiriöitä (esim. oksentelua, vaikea ripuli)
Jos oksennat tai jos sinulla on vaikea ripuli, Mercilon-tabletin vaikuttavat aineet eivät ehkä ole ehtineet kokonaan imeytyä. Oksentamisella 3-4 tunnin sisällä tabletin ottamisesta on sama vaikutus kuin tabletin unohtamisella. Noudata siksi tabletin unohtamisesta annettuja ohjeita. Jos sinulla on vaikea ripuli, ota yhteyttä lääkäriin.
Jos haluat muuttaa kuukautisten alkamispäivää
Jos otat tabletit ohjeiden mukaan, kuukautisesi alkavat suunnilleen samana päivänä 4 viikon välein. Jos haluat muuttaa kuukautisten alkamispäivää, lyhennä (älä koskaan pidennä) seuraavaa taukoa pakkausten välillä. Esimerkiksi jos kuukautisesi alkavat yleensä perjantaina ja haluat niiden vastaisuudessa alkavan tiistaina (3 päivää aikaisemmin), sinun pitää aloittaa seuraava pakkaus 3 päivää tavallista aikaisemmin. Jos pidät hyvin lyhyen tauon tablettien ottamisessa (esim. 3 päivää tai vähemmän), vuoto voi jäädä tulematta tauon aikana. Seuraavan pakkauksen käytön aikana voi esiintyä läpäisyvuotoa tai tiputteluvuotoa.
Jos sinulla esiintyy ylimääräistä vuotoa
Kaikkien ehkäisytablettien käytön yhteydessä voi ensimmäisten kuukausien aikana esiintyä epäsäännöllistä verenvuotoa emättimestä (tiputteluvuotoa tai läpäisyvuotoa) kuukautisten välillä. Kuukautissuojien käyttö voi olla tarpeen, mutta jatka tablettien käyttöä normaalisti. Epäsäännölliset vuodot loppuvat yleensä, kun elimistö on tottunut ehkäisytabletteihin (tavallisesti noin 3 kuukaudessa). Jos epäsäännölliset vuodot jatkuvat, muuttuvat runsaiksi tai alkavat uudelleen, kerro siitä lääkärille.
Jos kuukautiset jäävät tulematta
Jos olet ottanut kaikki tabletit oikeaan aikaan etkä ole oksentanut, sinulla ei ole ollut vaikeaa ripulia etkä ole käyttänyt muita lääkkeitä, on hyvin epätodennäköistä, että olet raskaana. Jatka Mercilon-tablettien käyttöä tavalliseen tapaan.
Jos kuukautiset jäävät tulematta kaksi kertaa peräkkäin, voit olla raskaana. Kerro asiasta heti lääkärille. Älä aloita seuraavaa Mercilon-pakkausta, ennen kuin lääkäri on varmistanut, ettet ole raskaana.
Jos haluat lopettaa Mercilon-tablettien käytön
Voit lopettaa Mercilon-tablettien käytön milloin tahansa. Jos et halua tulla raskaaksi, kysy lääkäriltä muista ehkäisymenetelmistä.
Jos lopetat tablettien käytön siksi, että haluat tulla raskaaksi, on yleensä suositeltavaa, että odotat ensimmäisten luonnollisten kuukautisten tuloa, ennen kuin yrität tulla raskaaksi. Tämä helpottaa synnytyksen ajankohdan määrittämistä.
Jos sinulla on kysymyksiä tämän lääkkeen käytöstä, käänny lääkärin tai apteekkihenkilökunnan puoleen.
4. Mahdolliset haittavaikutukset
Kuten kaikki lääkkeet, tämäkin lääke voi aiheuttaa haittavaikutuksia. Kaikki eivät kuitenkaan niitä saa.
Jos havaitset jonkin haittavaikutuksen, varsinkin jos se on vaikea tai sitkeästi jatkuva, tai jos terveydentilassasi tapahtuu jokin muutos, jonka arvelet voivan johtua Mercilon-valmisteesta, kerro asiasta lääkärille.
Kaikilla yhdistelmäehkäisyvalmisteita käyttävillä naisilla on suurentunut laskimoveritulppien (laskimotromboembolian) tai valtimoveritulppien (valtimotromboembolian) riski. Katso lisätietoja yhdistelmäehkäisyvalmisteiden käyttämisen riskeistä kohdasta Mitä sinun on tiedettävä ennen valmisteen käyttöä. Muut ehkäisyvalmisteen käytössä ilmenneet vakavat haittavaikutukset on kuvattu kohdassa Mitä sinun on tiedettävä ennen valmisteen käyttöä. ”Varoitukset ja varotoimet”.
Ota heti yhteys lääkäriin, jos sinulla ilmenee jokin seuraavista angioedeeman oireista: kasvojen, kielen ja/tai kurkun turpoaminen ja/tai nielemisvaikeudet tai nokkosihottuma; näihin oireisiin voi liittyä hengitysvaikeuksia (ks. myös kohta Mitä sinun on tiedettävä ennen valmisteen käyttöä ”Mitä sinun on tiedettävä, ennen kuin käytät Mercilon-valmistetta”).
Yleiset (useammalla kuin 1 käyttäjällä 100:sta):
- masentunut mieliala, mielialan vaihtelut
- päänsärky
- pahoinvointi, vatsakivut
- rintojen arkuus ja kipu
- painonnousu
Melko harvinaiset (1 - 10 käyttäjällä 1 000:sta):
- nesteen kertyminen elimistöön
- seksuaalisen halukkuuden heikkeneminen
- migreeni
- oksentelu, ripuli
- ihottuma, nokkosrokko
- rintojen koon suureneminen
Harvinaiset (harvemmalla kuin 1 käyttäjällä 1 000:sta):
- haitallisia veritulppia laskimossa tai valtimossa, esimerkiksi:
- jalassa tai jalkaterässä (ts. syvä laskimotukos)
- keuhkoissa (ts. keuhkoembolia)
- sydänkohtaus
- aivohalvaus
- pieniä tai ohimeneviä aivohalvausta muistuttavia oireita (ohimenevä aivoverenkiertohäiriö eli TIA)
- veritulppia maksassa, vatsassa/suolistossa, munuaisissa tai silmässä.
Veritulpan mahdollisuus saattaa olla suurempi, jos sinulla on tätä riskiä suurentavia sairauksia tai tiloja (ks. kohdasta Mitä sinun on tiedettävä ennen valmisteen käyttöä lisätietoja veritulppien riskiä lisäävistä tiloista tai sairauksista ja veritulpan oireista).
- yliherkkyysreaktiot
- seksuaalisen halukkuuden lisääntyminen
- piilolinssien sopimattomuus
- erythema nodosum, erythema multiforme (ihoreaktioita)
- rintojen ja emättimen eritevuoto
- painonlasku
Haittavaikutuksista ilmoittaminen
Jos havaitset haittavaikutuksia, kerro niistä lääkärille, apteekkihenkilökunnalle tai sairaanhoitajalle. Tämä koskee myös sellaisia mahdollisia haittavaikutuksia, joita ei ole mainittu tässä pakkausselosteessa. Voit ilmoittaa haittavaikutuksista myös suoraan (ks. yhteystiedot alla). Ilmoittamalla haittavaikutuksista voit auttaa saamaan enemmän tietoa tämän lääkevalmisteen turvallisuudesta.
www-sivusto: www.fimea.fi
Lääkealan turvallisuus- ja kehittämiskeskus Fimea
Lääkkeiden haittavaikutusrekisteri
PL 55
00034 FIMEA
5. Valmisteen säilyttäminen
Ei lasten ulottuville eikä näkyville.
Älä käytä tätä lääkettä kotelossa ja läpipainopakkauksessa mainitun viimeisen käyttöpäivän (EXP) jälkeen.
Säilytä alle 25 °C.
Herkkä valolle.
Herkkä kosteudelle.
Säilytä alkuperäispakkauksessa.
Älä käytä tätä lääkettä, jos huomaat tableteissa esim. värimuutoksia, murenemista tai muita näkyviä laadun heikkenemiseen viittaavia merkkejä.
Lääkkeitä ei tule heittää viemäriin eikä hävittää talousjätteiden mukana. Kysy käyttämättömien lääkkeiden hävittämisestä apteekista. Näin menetellen suojelet luontoa.
6. Pakkauksen sisältö ja muuta tietoa
Mitä Mercilon sisältää
Vaikuttavat aineet: etinyyliestradioli 20 mikrogrammaa (0,020 mg) ja desogestreeli 150 mikrogrammaa (0,150 mg).
Muut aineet:
vedetön kolloidinen piidioksidi
laktoosimonohydraatti
perunatärkkelys
povidoni
steariinihappo
all-rac-alfa-tokoferoli
Lääkevalmisteen kuvaus ja pakkauskoot
Mercilon-tabletit on pakattu 21 tabletin läpipainoliuskaan. Pakkaus sisältää joko 1, 3 tai 6 liuskaa. Kaikkia pakkauskokoja ei välttämättä ole myynnissä.
Tabletit ovat pyöreitä ja kaksoiskuperia ja niiden halkaisija on 6 mm. Tabletin toisella puolella on merkintä TR ja sen alapuolella 4, toisella puolella Organon*.
Myyntiluvan haltija ja valmistaja
Myyntiluvan haltija
N.V. Organon, Kloosterstraat 6, 5349 AB Oss, Alankomaat
Valmistaja
N.V. Organon, Oss, Alankomaat
Tämä pakkausseloste on tarkistettu viimeksi 6.9.2022.