Levesia® 100 mikrog / 20 mikrog kalvopäällysteiset tabletit
levonorgestreeli/etinyyliestradioli
Yleisiä ohjeita
Lue tämä pakkausseloste huolellisesti ennen kuin aloitat lääkkeen ottamisen, sillä se sisältää sinulle tärkeitä tietoja.
- Säilytä tämä pakkausseloste. Voit tarvita sitä myöhemmin.
- Jos sinulla on kysyttävää, käänny lääkärin tai apteekkihenkilökunnan puoleen.
- Tämä lääke on määrätty vain sinulle eikä sitä tule antaa muiden käyttöön. Se voi aiheuttaa haittaa muille, vaikka heillä olisikin samanlaiset oireet kuin sinulla.
- Jos havaitset haittavaikutuksia, käänny lääkärin tai apteekkihenkilökunnan puoleen. Tämä koskee myös sellaisia mahdollisia haittavaikutuksia, joita ei ole mainittu tässä pakkausselosteessa. Ks. kohta Mahdolliset haittavaikutukset.
Tärkeitä tietoja yhdistelmäehkäisyvalmisteista:
- Oikein käytettyinä ne ovat yksi luotettavimmista palautuvista raskaudenehkäisykeinoista.
- Ne hieman lisäävät laskimo- ja valtimoveritulppien riskiä erityisesti ensimmäisen käyttövuoden aikana tai kun yhdistelmäehkäisyvalmisteen käyttö aloitetaan uudelleen vähintään 4 viikon tauon jälkeen.
- Tarkkaile vointiasi ja mene lääkäriin, jos arvelet, että sinulla saattaa olla veritulpan oireita (ks. kohta Mitä sinun on tiedettävä ennen valmisteen käyttöä ”Veritulpat”).
Tässä pakkausselosteessa kerrotaan
1. Mitä Levesia on ja mihin sitä käytetään
2. Mitä sinun on tiedettävä, ennen kuin käytät Levesia-valmistetta
3. Miten Levesia-valmistetta käytetään
4. Mahdolliset haittavaikutukset
5. Levesia-valmisteen säilyttäminen
6. Pakkauksen sisältö ja muuta tietoa
1. Mitä valmiste on ja mihin sitä käytetään
- Levesia on ehkäisytabletti, jota käytetään raskauden ehkäisyyn.
- Jokainen vaaleanpunainen tabletti sisältää pienen määrän kahta eri naishormonia, levonorgestreelia ja etinyyliestradiolia.
- Valkoiset tabletit eivät sisällä vaikuttavia aineita, ja niitä kutsutaan lumetableteiksi.
- Kahta eri hormonia sisältäviä ehkäisypillereitä kutsutaan yhdistelmäehkäisytableteiksi. Levesia-valmistetta kutsutaan pieniannoksiseksi ehkäisyvalmisteeksi, sillä se sisältää vain pienen määrän hormoneita.
Levonorgestreelia ja etinyyliestradiolia, joita Levesia sisältää, voidaan joskus käyttää myös muiden kuin tässä pakkausselosteessa mainittujen sairauksien hoitoon. Kysy neuvoa lääkäriltä, apteekkihenkilökunnalta tai muulta terveydenhuollon ammattilaiselta tarvittaessa ja noudata aina heiltä saamiasi ohjeita.
2. Mitä sinun on tiedettävä ennen valmisteen käyttöä
Yleistä Ennen kuin aloitat Levesia-valmisteen käyttämisen, lue veritulppia koskevat tiedot kohdasta Mitä sinun on tiedettävä ennen valmisteen käyttöä. On erityisen tärkeää, että luet veritulpan oireita kuvaavan kohdan – ks. kohta Mitä sinun on tiedettävä ennen valmisteen käyttöä ”Veritulpat”). Ennen kuin voit aloittaa Levesia-valmisteen käytön, lääkäri esittää sinulle kysymyksiä sinun ja lähisukulaistesi terveydentilasta. Lisäksi lääkäri mittaa verenpaineesi ja voi henkilökohtaisesta tilanteestasi riippuen tehdä myös joitakin muita tutkimuksia. Tässä pakkausselosteessa kuvataan useita eri tilanteita, joissa Levesia-valmisteen käyttö on lopetettava tai joissa Levesia-valmisteen ehkäisyteho on saattanut heikentyä. Tällaisissa tilanteissa on joko pidättäydyttävä yhdynnästä tai käytettävä lisäksi ei-hormonaalista ehkäisymenetelmää, kuten kondomia tai muuta estemenetelmää. Älä käytä rytmimenetelmää äläkä peruslämmönmittausta. Nämä menetelmät voivat olla epäluotettavia, sillä Levesia vaikuttaa ruumiinlämmön kuukausimuutoksiin ja kohdunkaulan eritteeseen. Levesia ei suojaa HIV-tartunnalta (AIDS) eikä muilta sukupuolitaudeilta, kuten eivät muutkaan hormonaaliset ehkäisykeinot. |
Tätä lääkettä käytettäessä on käytävä säännöllisesti, vähintään kahdesti vuodessa, lääkärissä.
Jos sinulla esiintyy epätavallisia oireita, kuten selittämätöntä kipua rinnassa, vatsassa tai alaraajoissa, ota välittömästi yhteys lääkäriin.
Älä käytä Levesia-valmistetta
- jos olet tai epäilet olevasi raskaana
- jos sinulla on (tai on joskus ollut) veritulppa jalkojesi verisuonessa (syvä laskimotukos, SLT), keuhkoissa (keuhkoembolia) tai muualla elimistössä
- jos sinulla on joskus ollut sydänkohtaus tai aivohalvaus
- jos tiedät, että sinulla on jokin veren hyytymiseen vaikuttava sairaus – esimerkiksi C‑proteiinin puutos, S‑proteiinin puutos, antitrombiini III:n puutos, Faktori V Leiden tai fosfolipidivasta-aineita
- jos joudut leikkaukseen tai joudut olemaan vuodelevossa pitkän aikaa (ks. kohta ”VERITULPAT")
- jos sinulla on (tai on joskus ollut) vaiva, joka voi ennakoida sydänkohtausta (esim. angina pectoris, joka aiheuttaa voimakasta rintakipua) tai aivohalvausta (esim. ohimenevä lievä aivoverenkierron häiriö, joka ei ole aiheuttanut pysyviä vaikutuksia)
- jos sinulla on jokin seuraavista sairauksista, jotka saattavat lisätä tukosten kehittymisen riskiä valtimoissasi:
- diabetes, johon liittyy verisuonivaurioita
- erittäin korkea verenpaine
- erittäin korkea veren rasvapitoisuus (kolesteroli tai triglyseridit)
- sairaus nimeltä hyperhomokysteinemia (veren homokysteiinirunsaus)
- jos tupakoit (ks. kohta Mitä sinun on tiedettävä ennen valmisteen käyttöä ”Veritulpat”)
- jos sinulla on (tai on joskus ollut) niin sanottu aurallinen migreeni
- jos sinulla on C-hepatiitti ja käytät ombitasviirin,paritapreviirin jaritonaviirin yhdistelmää ja dasabuviiria, glekapreviirin ja pibrentasviirin yhdistelmää tai sofosbuviirin, velpatasviirin ja voksilapreviirin yhdistelmää sisältäviä lääkevalmisteita (ks. myös kohta ”Muut lääkevalmisteet ja Levesia”).
- jos sinulla on (tai on joskus ollut) vaikeaan rasva-aineenvaihdunnan häiriöön liittyvä haimatulehdus
- jos sinulla on (tai on joskus ollut) maksasairaus eikä maksan toiminta ole vielä palautunut normaaliiksi tai jos sapen kellanruskean väriaineen (bilirubiinin) pitoisuus veressäsi on kohonnut erittymishäiriön (Dubin–Johnsonin oireyhtymän tai Rotorin oireyhtymän) vuoksi
- jos sinulla on (tai on joskus ollut) maksakasvain (hyvän- tai pahanlaatuinen)
- jos sinulla on (tai on joskus ollut) tai epäillään olevan rintasyöpä tai sukupuolielinten syöpä
- jos sinulla esiintyy selittämätöntä verenvuotoa emättimestä
- jos kuukautisesi ovat loppuneet, mahdollisesti liikunnan tai ruokavalion takia
- jos olet allerginen levonorgestreelille, etinyyliestradiolille tai tämän lääkkeen jollekin muulle aineelle (lueteltu kohdassa Pakkauksen sisältö ja muuta tietoa).
Varoitukset ja varotoimet
Milloin sinun pitää ottaa yhteyttä lääkäriin? Hakeudu välittömästi lääkärin hoitoon - jos huomaat mahdollisia veritulpan oireita, jotka saattavat merkitä, että sinulla on veritulppa jalassa (ts. syvä laskimotukos), veritulppa keuhkoissa (ts. keuhkoembolia), sydänkohtaus tai aivohalvaus (ks. kohta ”Veritulpat” alempana).
Näiden vakavien haittavaikutusten oireiden kuvaukset löydät kohdasta ”Miten tunnistan veritulpan”. |
Keskustele lääkärin tai apteekkihenkilökunnan kanssa ennen kuin käytät Levesia-valmistetta
- jos lähisukulaisellasi on tai on joskus ollut rintasyöpä
- jos sinulla on maksa- tai sappirakkosairaus
- jos sinulla on diabetes
- jos sinulla on masennus
- jos joudut leikkaukseen tai joudut olemaan vuodelevossa pitkän aikaa (ks. kohta Mitä sinun on tiedettävä ennen valmisteen käyttöä ”Veritulpat”)
- jos olet äskettäin synnyttänyt, sinulla on suurentunut veritulppariski. Kysy lääkäriltä, kuinka pian synnytyksen jälkeen voit aloittaa Levesia‑valmisteen käytön.
- jos sinulla on ihonalainen verisuonitulehdus (pinnallinen laskimontukkotulehdus)
- jos sinulla on suonikohjuja
- jos sinulla on Crohnin tauti tai haavainen paksusuolitulehdus (tulehduksellinen suolistosairaus)
- jos sinulla on hemolyyttis-ureeminen oireyhtymä (HUS – munuaisten vajaatoimintaa aiheuttava veren hyytymishäiriö)
- jos sinulla on sirppisoluanemia (verisairaus)
- jos sinulla on epilepsia (ks. kohta ”Muut lääkevalmisteet ja Levesia”)
- jos sinulla on systeeminen lupus erythematosus (SLE – immuunijärjestelmään vaikuttava sairaus)
- jos sinulla on sairaus, joka ilmeni ensimmäisen kerran raskauden tai sukupuolihormonien aiemman käytön aikana (esim. kuulon heikentyminen, porfyriaksi kutsuttu verisairaus, raskaudenaikainen rakkulaihottuma [herpes gestationis] tai pakkoliikkeitä aiheuttava hermostosairaus [Sydenhamin korea])
- jos sinulla on tai on joskus ollut ihon pigmenttiläiskiä (maksaläiskiä) erityisesti kasvoissa ja kaulalla. Vältä siinä tapauksessa suoraa altistumista auringonvalolle ja ultraviolettisäteilylle.
- Ota heti yhteys lääkäriin, jos sinulle ilmaantuu angioedeeman oireita, kuten kasvojen, kielen ja/tai nielun turvotusta ja/tai nielemisvaikeuksia tai nokkosihottumaa, johon voi liittyä hengitysvaikeuksia. Estrogeeneja sisältävät valmisteet saattavat aiheuttaa tai pahentaa perinnöllisen tai hankinnaisen angioedeeman oireita.
VERITULPAT
Yhdistelmäehkäisyvalmisteen, kuten esimerkiksi Levesia‑valmisteen, käyttö lisää riskiäsi saada veritulppa verrattuna niihin, jotka eivät käytä tällaista valmistetta. Harvinaisissa tapauksissa veritulppa voi tukkia verisuonet ja aiheuttaa vakavia haittoja.
Veritulppia voi kehittyä:
- laskimoihin (tällöin puhutaan laskimoveritulpasta, laskimotromboemboliasta tai VTE:stä)
- valtimoihin (tällöin puhutaan valtimoveritulpasta, valtimotromboemboliasta tai ATE:stä)
Veritulpista ei aina toivu täydellisesti. Harvinaisissa tapauksissa voi ilmetä vakavia, pysyviä vaikutuksia, ja erittäin harvoin ne voivat johtaa kuolemaan.
On tärkeää muistaa, että kokonaisriski saada vahingollinen veritulppa Levesia‑valmisteen käytön vuoksi on pieni.
MITEN TUNNISTAN VERITULPAN
Hakeudu välittömästi lääkärin hoitoon, jos huomaat jonkin seuraavista oireista tai merkeistä:
Onko sinulla jokin näistä merkeistä? | Mikä sairaus sinulla on mahdollisesti? |
Toisen jalan turvotus tai laskimon myötäinen turvotus jalassa tai jalkaterässä, varsinkin kun siihen liittyy: - kivun tai arkuuden tunne jalassa, mikä saattaa tuntua ainoastaan seistessä tai kävellessä
- lisääntynyt lämmöntunne samassa jalassa jalan ihon värin muuttuminen esim.
- kalpeaksi, punaiseksi tai sinertäväksi
| Syvä laskimoveritulppa |
- äkillinen selittämätön hengenahdistus tai nopea hengitys
- äkillinen yskä ilman selvää syytä; yskän mukana voi tulla veriysköksiä
- pistävä rintakipu, joka voi voimistua syvään hengitettäessä
- vaikea pyörrytys tai huimaus
- nopea tai epäsäännöllinen sydämen syke
- vaikea vatsakipu
Jos olet epävarma, keskustele asiasta lääkärin kanssa, sillä jotkin näistä oireista (esim. yskä ja hengenahdistus) voidaan sekoittaa lievempiin sairauksiin kuten hengitystieinfektioon (esim. tavalliseen flunssaan). | Keuhkoembolia (keuhkoveritulppa) |
Oireita esiintyy yleensä yhdessä silmässä: - välitön näön menetys tai
- kivuton näön hämärtyminen, mikä voi edetä näön menetykseen
| Verkkokalvon laskimotukos (veritulppa silmässä) |
- rintakipu, epämiellyttävä olo, paineen tunne tai painon tunne rinnassa
- puristuksen tai täysinäisyyden tunne rinnassa, käsivarressa tai rintalastan takana
- täysinäisyyden tunne, ruoansulatushäiriöt tai tukehtumisen tunne
- ylävartalossa epämiellyttävä olo, joka säteilee selkään, leukaan, kurkkuun, käsivarteen ja vatsaan
- hikoilu, pahoinvointi, oksentelu tai huimaus
- erittäin voimakas heikkouden tunne, ahdistuneisuus ja hengenahdistus
- nopea tai epäsäännöllinen sydämen syke
| Sydänkohtaus |
- äkillinen kasvojen, käsivarsien tai jalkojen tunnottomuus tai heikkous, varsinkin vartalon yhdellä puolella
- äkillinen sekavuus, puhe- tai ymmärtämisvaikeudet
- äkillinen näön heikentyminen joko toisessa tai molemmissa silmissä
- äkillinen kävelyn vaikeutuminen, huimaus, tasapainon tai koordinaation menetys
- äkillinen, vaikea tai pitkittynyt päänsärky, jolle ei tiedetä syytä
- tajunnan menetys tai pyörtyminen, johon saattaa liittyä kouristuskohtaus
Joskus aivohalvauksen oireet voivat olla lyhytkestoisia ja toipuminen niistä lähes välitöntä ja täydellistä. Sinun pitää silti hakeutua välittömästi lääkäriin, koska vaarana voi olla toinen aivohalvaus. | Aivohalvaus |
- raajan turvotus ja lievä sinerrys
- voimakas vatsakipu (akuutti vatsa)
| Muita verisuonia tukkivat veritulpat |
LASKIMOVERITULPAT
Mitä voi tapahtua, jos laskimoon kehittyy veritulppa?
- Yhdistelmäehkäisyvalmisteiden käyttöön on liitetty laskimoveritulppien (laskimotromboosien) lisääntynyt riski. Nämä haittavaikutukset ovat kuitenkin harvinaisia. Useimmin niitä esiintyy yhdistelmäehkäisyvalmisteen ensimmäisen käyttövuoden aikana.
- Jos jalan laskimossa kehittyy veritulppa, se voi aiheuttaa syvän laskimotukoksen (SLT).
- Jos hyytymä lähtee liikkeelle jalasta ja asettuu keuhkoihin, se voi saada aikaan keuhkoveritulpan (keuhkoembolia).
- Hyvin harvoin tällainen hyytymä voi kehittyä jonkin toisen elimen laskimoon, esim. silmään (verkkokalvon laskimoveritulppa).
Milloin laskimoveritulpan kehittymisen riski on suurin?
Laskimoveritulpan kehittymisen riski on suurimmillaan ensimmäisen vuoden aikana, kun käytät yhdistelmäehkäisyvalmistetta ensimmäistä kertaa elämässäsi. Riski voi olla suurempi myös silloin, jos aloitat yhdistelmäehkäisyvalmisteen käyttämisen uudelleen (sama valmiste tai eri valmiste) vähintään 4 viikon tauon jälkeen.
Ensimmäisen vuoden jälkeen riski pienenee, mutta se on aina hieman suurempi kuin silloin, kun yhdistelmäehkäisyvalmistetta ei käytetä.
Kun lopetat Levesia‑valmisteen käytön, veritulppariski palautuu normaalille tasolle muutaman viikon kuluessa.
Kuinka suuri on veritulpan kehittymisen riski?
Tämä riski riippuu yksilöllisestä veritulppariskistäsi ja käyttämäsi yhdistelmäehkäisyvalmisteen tyypistä.
Riski veritulpan kehittymiselle jalkaan (syvä laskimotukos) tai keuhkoihin (keuhkoveritulppa) on kaiken kaikkiaan pieni Levesia‑valmistetta käytettäessä.
- Noin kahdelle naiselle 10 000:sta, jotka eivät käytä mitään yhdistelmäehkäisyvalmistetta eivätkä ole raskaana, kehittyy veritulppa vuoden aikana.
- Noin 5–7 naiselle 10 000:sta, jotka käyttävät levonorgestreelia tai noretisteronia tai norgestimaattia sisältävää yhdistelmäehkäisyvalmistetta, kehittyy veritulppa vuoden aikana.
- Veritulpan saamisen riski vaihtelee oman sairaushistoriasi mukaan (ks. jäljempää kohta ”Tekijöitä, jotka lisäävät riskiäsi saada laskimoveritulpan”)
| Veritulpan saamisen riski vuoden aikana |
Naiset, jotka eivät käytä mitään yhdistelmäehkäisytablettia/‑laastaria/-rengasta eivätkä ole raskaana | noin 2 naista 10 000:sta |
Naiset, jotka käyttävät levonorgestreelia, noretisteronia tai norgestimaattia sisältäviä yhdistelmäehkäisytabletteja | noin 5–7 naista 10 000:sta |
Naiset, jotka käyttävät Levesia‑valmistetta | noin 5–7 naista 10 000:sta |
Tekijöitä, jotka lisäävät riskiäsi saada laskimoveritulpan
Veritulpan riski on Levesia‑valmistetta käytettäessä pieni, mutta jotkin tilat tai sairaudet suurentavat riskiä. Riskisi on suurempi:
- jos olet merkittävästi ylipainoinen (painoindeksi eli BMI yli 30 kg/m2)
- jollakin lähisukulaisellasi on ollut veritulppa jalassa, keuhkoissa tai muussa elimessä nuorella iällä (esim. alle 50‑vuotiaana). Tässä tapauksessa sinulla saattaa olla perinnöllinen veren hyytymishäiriö.
- jos joudut leikkaukseen tai jos joudut olemaan vuodelevossa pitkään jonkin vamman tai sairauden takia, tai jos sinulla on kipsi jalassa. Levesia‑valmisteen käyttö on ehkä lopetettava muutamaa viikkoa ennen leikkausta tai sitä aikaa, jolloin et pääse juurikaan liikkumaan. Jos sinun pitää lopettaa Levesia‑valmisteen käyttö, kysy lääkäriltä, milloin voit aloittaa käytön uudelleen.
- iän myötä (erityisesti yli 35‑vuotiailla)
- jos olet synnyttänyt muutaman viikon sisällä.
Veritulpan kehittymisen riski suurenee sen myötä, mitä enemmän erilaisia sairauksia tai tiloja sinulla on.
Lentomatka (> 4 tuntia) saattaa väliaikaisesti lisätä veritulpan riskiä, erityisesti jos sinulla on jokin toinen luettelossa mainittu riskitekijä.
On tärkeää kertoa lääkärille, jos jokin näistä tiloista koskee sinua, myös vaikka olisit epävarma asiasta. Lääkäri saattaa päättää, että sinun on lopetettava Levesia‑valmisteen käyttö.
Kerro lääkärille, jos jokin yllä olevista tiloista muuttuu sinä aikana, kun käytät Levesia‑valmistetta, esimerkiksi lähisukulaisella todetaan verisuonitukos, jonka syytä ei tiedetä, tai painosi lisääntyy huomattavasti.
VALTIMOVERITULPAT
Mitä voi tapahtua, jos valtimoon kehittyy veritulppa?
Kuten laskimossa oleva veritulppa, valtimoonkin kehittynyt veritulppa voi aiheuttaa vakavia ongelmia. Se voi esimerkiksi aiheuttaa sydänkohtauksen tai aivohalvauksen.
Tekijöitä, jotka lisäävät riskiäsi saada valtimoveritulpan
On tärkeää huomata, että Levesia‑valmisteen käyttämisestä johtuvan sydänkohtauksen tai aivohalvauksen riski on hyvin pieni, mutta se voi suurentua:
- iän myötä (noin 35 ikävuoden jälkeen)
- jos tupakoit. Kun käytät yhdistelmäehkäisyvalmistetta, kuten esimerkiksi Levesia‑valmistetta, tupakoinnin lopettaminen on suositeltavaa. Jos et pysty lopettamaan tupakointia ja olet yli 35‑vuotias, lääkäri kehottaa sinua käyttämään muun tyyppistä raskaudenehkäisyä.
- jos olet ylipainoinen
- jos sinulla on korkea verenpaine
- jos jollakin lähisukulaisellasi on ollut sydänkohtaus tai aivohalvaus nuorella iällä (alle 50‑vuotiaana). Tässä tapauksessa myös sinulla voi olla suurempi sydänkohtauksen tai aivohalvauksen riski.
- jos sinulla tai jollakin lähisukulaisellasi on korkea veren rasvapitoisuus (kolesteroli tai triglyseridit)
- jos sinulla on migreenikohtauksia, erityisesti aurallisia
- jos sinulla on jokin sydänsairaus (läppävika tai rytmihäiriö, jota kutsutaan eteisvärinäksi)
- jos sinulla on diabetes.
Jos yllämainituista tiloista useampi kuin yksi koskee sinua, tai jos yksikin niistä on erityisen vaikea, veritulpan saamisen riski voi olla vieläkin suurempi.
Kerro lääkärille, jos jokin yllä olevista tiloista muuttuu sinä aikana, kun käytät Levesia‑valmistetta, esimerkiksi aloitat tupakoinnin, lähisukulaisella todetaan verisuonitukos, jonka syytä ei tiedetä, tai painosi lisääntyy huomattavasti.
Levesia ja syöpä
Rintasyöpää on todettu hieman useammin yhdistelmäehkäisytabletteja käyttävillä naisilla, mutta sen yhteyttä yhdistelmäehkäisytablettien käyttöön ei tunneta. Yhdistelmäehkäisytabletteja käyttäviä naisia tutkitaan säännöllisemmin, ja on mahdollista, että kasvaimia todetaan sen vuoksi enemmän. Rintakasvainten esiintyvyys vähenee vähitellen yhdistelmäehkäisytablettien käytön lopettamisen jälkeen. On tärkeää, että tutkit rintasi säännöllisesti ja otat yhteyttä lääkäriin, jos havaitset kyhmyn.
Harvinaisissa tapauksissa ehkäisytablettien käyttäjillä on todettu hyvänlaatuisia ja vielä harvemmin pahanlaatuisia maksakasvaimia. Ota yhteys lääkäriin, jos sinulla esiintyy epätavallisen vaikeaa vatsakipua.
Pitkäaikaiskäyttäjillä on ilmoitettu kohdunkaulan syöpää, mutta ei ole varmaa, vaikuttaako tähän sukupuolikäyttäytyminen tai muut tekijät, kuten papilloomavirus (HPV).
Psyykkiset häiriöt
Jotkut hormonaalisia ehkäisyvalmisteita, myös Levesiaa käyttävät naiset ovat ilmoittaneet masennuksesta tai masentuneesta mielialasta. Masennus voi olla vakavaa ja aiheuttaa toisinaan myös itsetuhoisia ajatuksia. Jos koet mielialan muutoksia ja masennusoireita, ota mahdollisimman pian yhteyttä lääkäriin, jotta voit saada neuvontaa.
Ylimääräinen vuoto kuukautisten välillä
Ensimmäisten Levesia-valmisteen käyttökuukausien aikana sinulla saattaa esiintyä odottamatonta verenvuotoa (vuoto muulloin kuin lumetablettiviikolla). Jos tämä verenvuoto jatkuu muutamaa kuukautta pidempään tai ilmaantuu useamman käyttökuukauden jälkeen, lääkärin on tutkittava vuodon syy.
Mitä tehdä, jos vuoto ei ala lumetablettiviikolla
Jos olet ottanut kaikki vaaleanpunaiset, aktiiviset tabletit ohjeen mukaisesti, et ole oksentanut eikä sinulla ole ollut vaikeaa ripulia etkä ole käyttänyt muita lääkkeitä, on erittäin epätodennäköistä, että olisit raskaana.
Jos vuoto jää tulematta kaksi kertaa peräkkäin, saatat olla raskaana. Ota välittömästi yhteys lääkäriin. Älä aloita seuraavaa läpipainopakkausta, ennen kuin olet varma, ettet ole raskaana.
Muut lääkevalmisteet ja Levesia
Kerro lääkärille tai apteekkihenkilökunnalle, jos parhaillaan käytät tai olet äskettäin käyttänyt tai saatat käyttää muita lääkkeitä. He kertovat sinulle, jos sinun on käytettävä lisäehkäisyä (esimerkiksi kondomia) ja miten pitkään sitä on käytettävä.
Eräät lääkkeet voivat vaikuttaa Levesia-valmisteen pitoisuuteen veressä ja heikentää sen ehkäisytehoa tai aiheuttaa odottamatonta vuotoa. Näitä ovat
- seuraavat lääkkeet:
- ruoansulatuskanavan liikehäiriöiden lääkkeet (esim. metoklopramidi)
- epilepsialääkkeet (esim. primidoni, fenytoiini, barbituraatit, karbamatsepiini, okskarbatsepiini, topiramaatti ja felbamaatti)
- tuberkuloosilääkkeet (esim. rifampisiini, rifabutiini)
- HIV- ja hepatiitti C ‑infektioihin käytettävät lääkkeet (nk. proteaasinestäjät ja ei‑nukleosidirakenteiset käänteiskopioijaentsyymin estäjät, kuten ritonaviiri, nevirapiini, indinaviiri)sieni-infektioihin käytettävät lääkkeet (esim. griseofulviini, atsolisienilääkkeet kuten itrakonatsoli, vorikonatsoli, flukonatsoli)
- bakteeri-infektioihin käytettävät lääkkeet (makrolidiantibiootit, esim. klaritromysiini, erytromysiini)
- tiettyjen sydänsairauksien lääkkeet ja verenpainelääkkeet (esim. atorvastatiini ja kalsiumkanavan salpaajat kuten verapamiili, diltiatseemi)
- niveltulehduksen ja nivelrikon hoitoon käytettävät lääkkeet (etorikoksibi)
- hermoston häiriöiden lääkkeet (narkolepsia, esim. modafiniili)
- kipu- ja kuumelääkkeet (parasetamoli)
- askorbiinihappo (eli C-vitamiini)
- mäkikuisma (rohdosvalmiste).
Levesia-valmiste voi vaikuttaa joidenkin muiden lääkkeiden vaikutukseen. Näitä ovat esimerkiksi:
- siklosporiinia sisältävät valmisteet
- epilepsialääke lamotrigiini (samanaikainen käyttö voi johtaa epilepsiakohtausten lisääntymiseen)
- teofylliini (käytetään hengitysvaikeuksien hoitoon)
- melatoniini
- titsanidiini (käytetään lihaskivun ja/tai lihaskouristusten hoitoon)
- jotkin bentsodiatsepiinit (rauhoittavia lääkkeitä, esim. loratsepaami, diatsepaami)
- teofylliini (astmalääke)
- glukokortikoidit (esim. kortisoni)
- klofibraatti (veren rasva-arvojen pienentämiseen käytettävä lääke)
- parasetamoli (kipu- ja kuumelääke)
- morfiini (hyvin voimakas kipulääke).
Diabetesta sairastavilla naisilla verensokeria alentavien lääkkeiden (esim. insuliinin) tarve voi vaihdella.
Troleandomysiini voi suurentaa maksansisäisen kolestaasin riskiä, jos sitä käytetään yhdessä yhdistelmäehkäisytablettien kanssa.
Älä käytä Levesia-valmistetta, jos sinulla on C-hepatiitti ja käytät lääkevalmisteita, jotka sisältävät ombitasviirin, paritapreviirin ja ritonaviirin yhdistelmää, dasabuviiria, glekapreviirin ja pibrentasviirin yhdistelmää tai sofosbuviirin, velpatasviirin ja voksilapreviirin yhdistelmää koska nämä valmisteet voivat aiheuttaa maksan toimintakoearvojen kohoamista verikokeissa (kohonnut ALAT-maksaentsyymiarvo).
Lääkäri määrää erityyppisen ehkäisyvalmisteen ennen näiden lääkevalmisteiden käytön aloittamista.
Levesia-valmisteen käyttö voidaan aloittaa uudelleen noin kaksi viikkoa tämänhoidon päättymisen jälkeen. Ks. kohta ”Älä käytä Levesia-valmistetta”.
Kysy lääkäriltä tai apteekista neuvoa ennen minkään lääkkeen käyttöä.
Kerro lääkärille tai apteekkihenkilökunnalle, jos parhaillaan käytät tai olet äskettäin käyttänyt tai saatat käyttää muita lääkkeitä.
Levesia ruuan ja juoman kanssa
Levesia voidaan ottaa ruuan kanssa tai ilman ruokaa ja tarvittaessa veden kanssa. Levesia-valmistetta ei pidä ottaa greippimehun kanssa.
Laboratoriotutkimukset
Jos sinun on mentävä verikokeeseen, kerro lääkärille tai laboratoriohenkilökunnalle, että käytät ehkäisytabletteja, sillä ne voivat vaikuttaa joidenkin tutkimusten tuloksiin.
Raskaus, imetys ja hedelmällisyys
Jos olet raskaana tai imetät, epäilet olevasi raskaana tai jos suunnittelet lapsen hankkimista, kysy lääkäriltä tai apteekista neuvoa ennen tämän lääkkeen käyttöä.
Raskaus
Jos olet raskaana, et saa käyttää Levesia-valmistetta. Jos tulet raskaaksi Levesia-valmisteen käytön aikana, lopeta valmisteen käyttö välittömästi ja ota yhteys lääkäriin. Jos haluat tulla raskaaksi, voit lopettaa Levesia-valmisteen käytön milloin tahansa (ks. myös kohta ”Jos lopetat Levesia-valmisteen käytön”).
Imetys
Levesia-valmisteen käyttöä ei yleensä suositella imetyksen aikana. Jos haluat käyttää ehkäisytabletteja imetyksen aikana, kysy neuvoa lääkäriltä.
Kysy lääkäriltä tai apteekista neuvoa ennen minkään lääkkeen käyttöä.
Ajaminen ja koneiden käyttö
Levesia-valmisteen ei tiedetä vaikuttavan ajokykyyn eikä koneiden käyttökykyyn.
Lääke voi heikentää kykyä kuljettaa moottoriajoneuvoa tai tehdä tarkkaa keskittymistä vaativia tehtäviä. On omalla vastuullasi arvioida, pystytkö näihin tehtäviin lääkehoidon aikana. Lääkkeen vaikutuksia ja haittavaikutuksia on kuvattu muissa kappaleissa. Lue koko pakkausseloste opastukseksesi. Keskustele lääkärin tai apteekkihenkilökunna n kanssa, jos olet epävarma.
Levesia sisältää laktoosia
Jos lääkäri on kertonut, että sinulla on jokin sokeri-intoleranssi, keskustele lääkärisi kanssa ennen tämän lääkevalmisteen ottamista.
Levesia sisältää alluranpunainen AC:tä ja soijalesitiiniä
Levesia-tablettien kalvopäällyste sisältää alluranpunainen AC:n alumiinilakkaa (E129) ja soijalesitiiniä, jotka saattavat aiheuttaa allergisia reaktioita. Jos olet allerginen maapähkinälle tai soijalle, älä käytä tätä lääkevalmistetta.
3. Miten valmistetta käytetään
Ota tätä lääkettä juuri siten kuin lääkäri on määrännyt tai apteekkihenkilökunta on neuvonut. Tarkista ohjeet lääkäriltä tai apteekista, jos olet epävarma.
Jos käytit toista ehkäisytablettivalmistetta ennen 28 tabletin Levesia-valmisteen aloittamista, tiedät, että suurin osa valmisteista sisältää 21 tablettia. Tällöin tabletteja otetaan 21 vuorokauden ajan, minkä jälkeen pidetään viikon tauko (lääkkeetön jakso).
28 tabletin Levesia-valmisteissa noudatetaan erilaista tapaa. Kun olet ottanut 21 vaaleanpunaista tablettia, sinun on otettava vielä 7 lumetablettia. Taukoviikon sijaan on siten lumetablettiviikko (viikko, jona otat lumetabletit rivistä 4). Koska tabletti on otettava joka päivä eikä kahden pakkauksen välissä pidetä taukoa, tabletinotosta tulee rutiininomaista ja näin tabletin unohtamisen riski pienenee.
Kahta eriä väriä olevat 28 Levesia-tablettia on asetettu ottojärjestykseen. Yksi pakkaus sisältää 28 tablettia.
Ota yksi Levesia-tabletti joka päivä. Levesia-tabletit voidaan ottaa ruoan kanssa tai ilman ruokaa, tarvittaessa pienen vesimäärän kanssa. Tabletit on otettava joka päivä suunnilleen samaan aikaan.
Älä sekoita tabletteja keskenään: ota yksi vaaleanpunainen tabletti kerran vuorokaudessa ensimmäisten 21 päivän ajan ja sitten yksi valkoinen tabletti kerran vuorokaudessa viimeisten 7 päivän ajan. Aloita heti sen jälkeen heti uusi läpipainopakkaus (21 vaaleanpunaista tablettia ja 7 valkoista tablettia). Läpipainopakkausten välillä ei siis ole tablettitaukoa.
Jotta muistaisit ottaa tabletit, jokaisen Levesia-läpipainopakkauksen mukana on 7 viikkotarraa, joihin kuhunkin on merkitty 7 viikonpäivää. Valitse tarra, joka alkaa siitä viikonpäivästä, jona aloitat tablettien ottamisen. Jos aloitat esimerkiksi keskiviikkona, käytä tarraa, joka alkaa merkinnästä ”KE”.
Liimaa viikkotarra läpipainopakkauksen yläosaan, jossa lukee ”Aseta viikkotarra tähän”.
Jokaisen tabletin yläpuolella on nyt viikonpäivä ja näet, oletko ottanut kutakin päivää vastaavan tabletin. Nuolet ilmaisevat, missä järjestyksessä tabletit otetaan.
Niiden 7 päivän aikana, jolloin otat valkoisia lumetabletteja (lumelääkepäivät), kuukautisvuodon pitäisi alkaa (ns. tyhjennysvuoto). Se alkaa yleensä 2–3 päivän kuluttua viimeisen vaaleanpunaisen, aktiivisen tabletin ottamisesta. Kun olet ottanut viimeisen valkoisen tabletin, aloita seuraava läpipainopakkaus riippumatta siitä, onko vuotosi vielä loppunut. Tämä merkitsee, että sinun on aloitettava jokainen läpipainopakkaus samana viikonpäivänä ja että tyhjennysvuodon pitäisi tulla samoina päivinä joka kuukausi.
Kun käytät Levesia-valmistetta tähän tapaan, ehkäisyteho säilyy myös niinä 7 päivänä, kun otat valkoisia lumetabletteja.
Milloin Levesia-valmisteen käyttö aloitetaan
- Jos et ole käyttänyt hormonaalista ehkäisyvalmistetta edeltäneen kuukauden aikana
Aloita Levesia-valmisteen käyttö kuukautiskierron ensimmäisenä päivänä (eli ensimmäisenä vuotopäivänä). Tällöin Levesia-valmisteen raskautta ehkäisevä vaikutus alkaa heti. Voit aloittaa tablettien käytön myös kierron päivinä 2–5, mutta siinä tapauksessa sinun on käytettävä lisäksi jotain muuta ehkäisymenetelmää (esim. kondomia) 7 ensimmäisen tablettipäivän ajan.
- Vaihto muista yhdistelmäehkäisytableteista tai yhdistelmäehkäisyrenkaasta tai -laastarista
Aloita Levesia-valmisteen käyttö mieluiten aiemman tablettivalmisteen viimeisen aktiivisen tabletin (viimeisen vaikuttavia aineita sisältävän tabletin) jälkeisenä päivänä tai ehkäisyrenkaan tai ‑laastarin poistamispäivän jälkeisenä päivänä, mutta viimeistään tablettitauon (renkaattoman tai laastarittoman jakson) (tai viimeisen lumetabletin) jälkeisenä päivänä.
- Vaihto pelkkää progestiinia sisältävästä ehkäisyvalmisteesta (ainoastaan progestiinia sisältävä ehkäisytabletti [minipilleri], injektio, implantaatti tai progestiinia vapauttava kohdunsisäinen ehkäisin)
Voit siirtyä pelkkää progestiinia sisältävien minipillerien käytöstä Levesia-valmisteen käyttöön milloin tahansa (tai aloittaa Levesia-valmisteen käytön silloin, kun kohdunsisäinen ehkäisin tai ehkäisyimplantaatti poistetaan tai kun sinun olisi määrä saada seuraava injektio). Kaikissa näissä tapauksissa sinun on käytettävä lisäehkäisyä (esim. kondomia) 7 ensimmäisen tablettipäivän ajan.
- Raskauden kolmen ensimmäisen kuukauden aikana tapahtuneen raskauden keskeytymisen jälkeen
Noudata lääkärin ohjeita.
- Synnytyksen tai kolmannen raskauskuukauden jälkeen tapahtuneen raskauden keskeytymisen jälkeen
Älä aloita Levesia-valmisteen käyttöa ennen kuin synnytyksestä tai raskauden keskeytymisestä on kulunut 21–28 vuorokautta. Käytä lisäksi estemenetelmää (esim. kondomia) 7 ensimmäisen Levesia-tablettipäivän ajan.
Jos olet ollut yhdynnässä synnytyksen jälkeen ennen Levesia-tablettien käytön (uudelleen) aloittamista, sinun on varmistuttava siitä, että et ole raskaana, tai odotettava seuraavien kuukautisten alkamista.
- Jos imetät ja haluat aloittaa Levesia-valmisteen käytön (uudelleen) synnytyksen jälkeen
Lue kohta ”Imetys”.
Kysy neuvoa lääkäriltä, jos et ole varma, milloin valmisteen käyttö on aloitettava.
Käytön kesto
Voit käyttää Levesia-valmistetta niin kauan kuin haluat käyttää hormonaalista ehkäisyä ja hormonaalisen ehkäisyn hyödyt ovat terveysriskejä suuremmat (ks. kohta Mitä sinun on tiedettävä ennen valmisteen käyttöä ”Älä käytä Levesia-valmistetta” ja ”Varoitukset ja varotoimet”).
Jos otat enemmän Levesia-valmistetta kuin sinun pitäisi
Levesia-tablettien yliannostuksen ei ole ilmoitettu aiheuttaneen vakavia haittavaikutuksia. Usean tabletin ottaminen samanaikaisesti voi aiheuttaa pahoinvointia ja oksentelua. Nuorilla tytöillä voi esiintyä verenvuotoa emättimestä.
Jos olet ottanut liian suuren lääkeannoksen tai vaikkapa lapsi on ottanut lääkettä vahingossa, ota aina yhteyttä lääkäriin, sairaalaan tai Myrkytystietokeskukseen (puh. 0800 147 111) riskien arvioimiseksi ja lisäohjeiden saamiseksi.
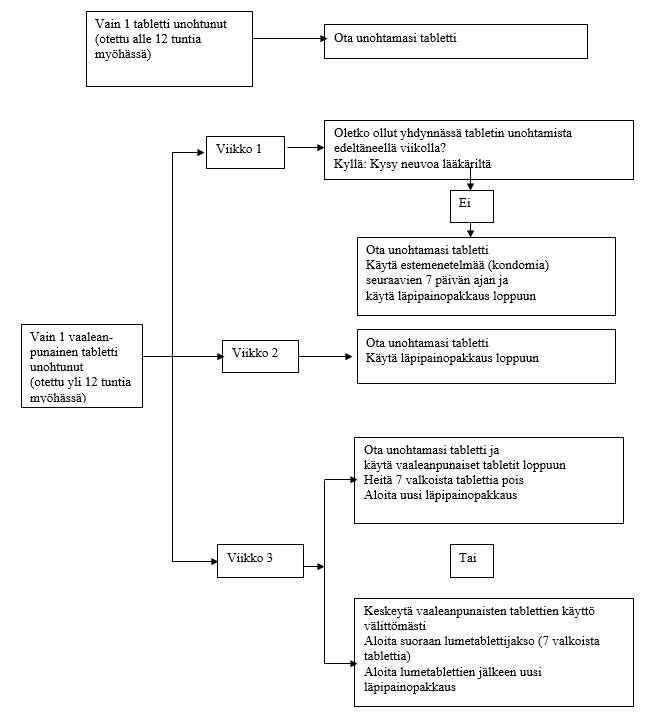
Jos unohdat ottaa Levesia-valmistetta
Läpipainopakkauksen rivin 4 tabletit ovat lumetabletteja. Jos unohdat yhden näistä tableteista, se ei vaikuta Levesia-valmisteen ehkäisytehoon. Heitä unohtunut lumetabletti pois.
Jos unohdat ottaa vaaleanpunaisen, aktiivisen tabletin (tabletit riveillä 1, 2 ja 3), toimi seuraavasti:
- Jos tabletin unohtamisesta on kulunut alle 12 tuntia, tablettien raskautta ehkäisevä vaikutus ei ole heikentynyt. Ota unohtunut tabletti heti, kun muistat, ja ota seuraavat tabletit tavanomaiseen aikaan.
- Jos tabletin unohtamisesta on kulunut yli 12 tuntia, tablettien raskautta ehkäisevä vaikutus on voinut heikentyä. Mitä useampia tabletteja olet unohtanut ottaa, sitä suurempi raskauden riski on.
Ehkäisytehon heikentymisen riski on suurin, jos unohdat vaaleanpunaisen tabletin läpipainopakkauksen alkupäästä (rivi 1) tai loppupäästä (rivi 3).
Noudata seuraavia ohjeita, jos olet unohtanut ottaa tabletin (ks. myös jäljempänä oleva kaavio):
- Jos unohdat läpipainopakkauksesta useamman kuin yhden tabletin
Jos olet unohtanut nykyisestä läpipainopakkauksesta useamman kuin yhden Levesia-tabletin, ehkäisytehoa ei voida enää taata.
- Jos unohdat yhden tabletin viikolla 1
Ota unohtunut tabletti heti, kun muistat, vaikka se tarkoittaisi kahden tabletin ottamista samaan aikaan. Jatka tablettien ottamista tavanomaiseen aikaan ja käytä lisäehkäisyä, esim. kondomia, seuraavien 7 päivän ajan. Jos olet ollut yhdynnässä tabletin unohtamista edeltäneellä viikolla, voit olla raskaana. Ota tässä tapauksessa yhteys lääkäriin.
- Jos unohdat yhden tabletin viikolla 2
Ota unohtunut tabletti heti, kun muistat, vaikka se tarkoittaisi kahden tabletin ottamista samaan aikaan. Jatka tablettien ottamista tavanomaiseen aikaan. Lääkkeen raskautta ehkäisevä vaikutus ei ole heikentynyt, eikä ylimääräistä ehkäisyä tarvitse käyttää, jos tabletteja on otettu oikein tabletin unohtamista edeltävien 7 päivän ajan. Jos et kuitenkaan ole ottanut tabletteja oikein tai jos olet unohtanut useamman kuin yhden tabletin, sinun on käytettävä lisäksi jotain hormonitonta ehkäisymenetelmää (esim. kondomia) seuraavien 7 päivän ajan.
- Jos unohdat yhden tabletin viikolla 3
Sinulla on kaksi vaihtoehtoa:
1. Ota unohtunut tabletti heti, kun muistat, vaikka se tarkoittaisi kahden tabletin ottamista samaan aikaan. Jatka tablettien ottamista tavanomaiseen aikaan. Älä ota valkoisia lumetabletteja, vaan hävitä ne ja aloita seuraava läpipainopakkaus (aloituspäivä vaihtuu).
Todennäköisesti kuukautisesi tulevat toisen läpipainopakkauksen lopussa valkoisten lumetablettien ottamisen aikana. Sinulla voi kuitenkin olla kevyttä tai kuukautisia muistuttavaa vuotoa toisen läpipainopakkauksen käytön aikana
2. Voit vaihtoehtoisesti lopettaa vaaleanpunaisten, aktiivisten tablettien ottamisen ja aloittaa heti valkoisten lumetablettien ottamisen (merkitse muistiin ennen lumetablettien ottamista, minä päivänä unohdit ottaa tabletin). Siirry lumetablettien jälkeen seuraavaan läpipainopakkaukseen. Jos haluat aloittaa uuden läpipainopakkauksen samana päivänä kuin yleensä, lyhennä lumetablettijakson kestoa niin, että se on alle 7 päivää.
Kun noudatat jompaakumpaa näistä kahdesta vaihtoehdosta, valmisteen ehkäisyteho säilyy sillä edellytyksellä, että olet ottanut tabletteja oikein tabletin unohtamista edeltävien 7 päivän ajan.
- Jos olet unohtanut ottaa yhdenkin läpipainopakkauksen tabletin eikä tyhjennysvuoto ala lumetablettiviikolla, saatat olla raskaana. Ota yhteys lääkäriin, ennen kuin aloitat seuraavan läpipainopakkauksen.

Mitä tehdä, jos oksennat tai sinulla on vaikea ripuli
Jos sinulla esiintyy oksentelua tai vaikeaa ripulia 3–4 tunnin sisällä vaaleanpunaisen, aktiivisen tabletin ottamisesta tai sinulla on vaikea ripuli, tabletin vaikuttavat aineet eivät ehkä ehdi imeytyä kokonaan elimistöösi. Tilanne on lähes sama kuin tabletin unohtuessa. Jos oksennat tai sinulla on ripuli, sinun on otettava uusi vaaleanpunainen tabletti toisesta läpipainopakkauksesta mahdollisimman pian. Jos mahdollista, ota se 12 tunnin sisällä siitä, kun normaalisti otat tabletin. Jos tämä ei ole mahdollista tai on kulunut yli 12 tuntia, noudata ohjeita, jotka on annettu kohdassa ”Jos unohdat ottaa Levesia-valmistetta”.
Kuukautisten siirtäminen eteenpäin: mitä sinun on tiedettävä
Vaikka kuukautisten siirtämistä ei suositella, voit siirtää kuukautisia eteenpäin jättämällä valkoiset lumetabletit ottamatta ja siirtymällä suoraan uuteen Levesia-läpipainopakkaukseen ja käyttämällä sen loppuun. Sinulla voi olla kevyttä tai kuukautisia muistuttavaa vuotoa tämän toisen läpipainopakkauksen käytön aikana. Käytä toisesta pakkauksesta myös 4. rivin 7 valkoista tablettia. Aloita sitten uusi läpipainopakkaus.
Voit pyytää lääkäriltä ohjeita, ennen kuin siirrät kuukautisiasi.
Kuukautisten alkamispäivän muuttaminen: mitä sinun on tiedettävä
Kun otat tabletit ohjeiden mukaan, kuukautisesi alkavat lumetablettipäivien aikana. Jos haluat muuttaa tätä päivää, vähennä lumetablettijakson päivien määrää eli valkoisten tablettien määrää (älä koskaan lisää lumetablettien määrää – 7 on enimmäismäärä!). Jos esimerkiksi aloitat lumetablettien ottamisen yleensä perjantaina ja haluat vastaisuudessa aloittaa niiden ottamisen tiistaina (3 päivää aikaisemmin), sinun on aloitettava uusi läpipainopakkaus 3 päivää tavallista aikaisemmin. Tänä aikana vuotoa ei tule välttämättä lainkaan. Sitten voi esiintyä kevyttä tai kuukautisia muistuttavaa vuotoa.
Tarkista ohjeet lääkäriltä, jos olet epävarma.
Jos lopetat Levesia-valmisteen käytön
Voit lopettaa Levesia-valmisteen käytön milloin tahansa. Jos et halua tulla raskaaksi, kysy lääkäriltä muista luotettavista ehkäisymenetelmistä. Jos haluat tulla raskaaksi, lopeta Levesia-valmisteen käyttö ja odota kuukautisvuodon alkamista, ennen kuin yrität tulla raskaaksi. Silloin laskettu aika pystytään määrittämään helpommin.
Jos lopetat Levesia-valmisteen käytön, säännöllisten kuukautisten palaaminen voi kestää jonkin aikaa, etenkin jos kuukautisesi olivat epäsäännölliset jo ennen ehkäisytablettien käytön aloittamista.
Jos sinulla on kysymyksiä tämän lääkkeen käytöstä, käänny lääkärin tai apteekkihenkilökunnan puoleen.
4. Mahdolliset haittavaikutukset
Kuten kaikki lääkkeet, tämäkin lääke voi aiheuttaa haittavaikutuksia. Kaikki eivät kuitenkaan niitä saa.
Jos sinulla ilmenee haittavaikutuksia, ja etenkin jos ne ovat vakavia ja pitkäkestoisia tai terveydentilassasi tapahtuu muutoksia, joiden epäilet johtuvan Levesia-valmisteesta, keskustele lääkärin kanssa.
Vakavat haittavaikutukset
Ota heti yhteys lääkäriin, jos sinulle ilmaantuu mikä tahansa seuraavista angioedeeman oireista:
kasvojen, kielen ja/tai nielun turvotusta ja/tai nielemisvaikeuksia tai nokkosihottumaa, johon voi
liittyä hengitysvaikeuksia (ks. myös kohta ”Varoitukset ja varotoimet”)
Kaikilla yhdistelmäehkäisyvalmisteita käyttävillä naisilla on suurentunut laskimoveritulppien (laskimotromboembolian) tai valtimoveritulppien (valtimotromboembolian) riski. Katso lisätietoja yhdistelmäehkäisyvalmisteiden käyttämisen riskeistä kohdasta Mitä sinun on tiedettävä ennen valmisteen käyttöä ”Mitä sinun on tiedettävä, ennen kuin käytät Levesia‑valmistetta”.
Seuraavassa on luettelo haittavaikutuksista, jotka on yhdistetty Levesia-valmisteen käyttöön:
Hyvin yleiset haittavaikutukset (voivat esiintyä yli 1 henkilöllä 10:stä):
- päänsärky (mukaan lukien migreeni).
Yleiset haittavaikutukset (voivat esiintyä enintään 1 henkilöllä 10:stä):
- mielialan vaihtelu, masentuneisuus
- seksuaalisen halukkuuden muutokset
- hermostuneisuus, pyörrytys, huimaus
- pahoinvointi, oksentelu, vatsakipu
- akne
- nesteen kertyminen elimistöönrintojen särky tai arkuus, erite rinnoista, kuukautiskivut, muutokset kuukautisvuodon määrässä, emätineritteiden lisääntyminen, kuukautisten poisjääminen
- painon muutokset (painonnousu tai -lasku)
- emätintulehdus, mukaan lukien sieni-infektio (kandidiaasi).
Melko harvinaiset haittavaikutukset (voivat esiintyä enintään 1 henkilöllä 100:sta):
- ruokahalun muutokset (lisääntyminen tai väheneminen), elimistön heikentynyt kyky hajottaa glukoosia (glukoosi-intoleranssi)
- vatsakrampit, vatsan turvotus, ripuli
- ihottuma, mahdollisesti pitkäkestoiset kellanruskeat läiskät iholla (maksaläiskät), kehon ja kasvojen karvoituksen lisääntyminen, hiustenlähtö
- nokkosihottuma
- rintojen turvotus
- verenpaineen nousu, veren rasva-arvojen muutokset.
Harvinaiset haittavaikutukset (voivat esiintyä enintään 1 henkilöllä 1 000:sta):
- piilolinssien huono sieto
- allergiset reaktiot, mukaan lukien hyvin vaikeat reaktiot, joihin liittyy hengitys- ja verenkierto-oireita, ja ihon ja limakalvojen kivulias turvotus (angioedeema)
- haitalliset veritulpat laskimossa tai valtimossa, esimerkiksi
- jalassa tai jalkaterässä (ts. syvä laskimotukos)
- keuhkoissa (ts. keuhkoembolia)
- sydänkohtaus
- aivohalvaus
- pienet tai ohimenevät aivohalvausta muistuttavat oireet (ohimenevä aivoverenkiertohäiriö eli TIA)
- veritulppa maksassa, vatsassa/suolistossa, munuaisissa tai silmässä
- keltaisuus, joka johtuu sapen virtauksen estymisestä
- kivuliaat, punertavat kyhmyt iholla (kyhmyruusu)
- ihottuma, johon liittyy rengasmaista punoitusta tai haavaumia (erythema multiforme)
- veren foolihappopitoisuuden lasku (ehkäisytabletit voivat aiheuttaa foolihappopitoisuuden laskua; matalilla foolihappopitoisuuksilla voi olla merkitystä, jos tulet raskaaksi pian ehkäisytablettien käytön lopettamisen jälkeen).
Hyvin harvinaiset haittavaikutukset (voivat esiintyä enintään 1 henkilöllä 10 000:sta):
Seuraavia tiloja voi esiintyä tai ne voivat pahentua yhdistelmäehkäisytablettien käytön yhteydessä: näköhermon tulehdus (voi johtaa osittaiseen tai täydelliseen näönmenetykseen), lisääntynyt suonikohjujen muodostus, haimatulehdus vaikean rasva-aineenvaihdunnan häiriön yhteydessä, paksusuolitulehdus, Crohnin tauti, haavainen paksusuolitulehdus, migreeni, porfyria (aineenvaihduntahäiriö, joka aiheuttaa vatsakipua ja psyykkisiä oireita), systeeminen lupus erythematosus (tila, jossa elimistö hyökkää omia elimiään ja kudoksiaan vastaan ja vaurioittaa niitä), raskauden myöhäisen vaiheen herpes, Sydenhamin korea (nopea tahaton nykiminen), hemolyyttis-ureeminen oireyhtymä (tila, jota esiintyy E. coli ‑bakteerin aiheuttaman ripulin jälkeen), keltaisuutta aiheuttavat maksaongelmat, sappirakon häiriöt tai sappikivien muodostuminen, tietyn tyyppinen kuulonmenetys (otoskleroosi).
Haittavaikutuksista ilmoittaminen
Jos havaitset haittavaikutuksia, kerro niistä lääkärille, apteekkihenkilökunnalle tai sairaanhoitajalle. Tämä koskee myös sellaisia mahdollisia haittavaikutuksia, joita ei ole mainittu tässä pakkausselosteessa. Voit ilmoittaa haittavaikutuksista myös suoraan (ks. yhteystiedot alla). Ilmoittamalla haittavaikutuksista voit auttaa saamaan enemmän tietoa tämän lääkevalmisteen turvallisuudesta.
www-sivusto: www.fimea.fi
Lääkealan turvallisuus- ja kehittämiskeskus Fimea
Lääkkeiden haittavaikutusrekisteri
PL 55
00034 FIMEA
5. Valmisteen säilyttäminen
Ei lasten ulottuville eikä näkyville.
Älä käytä tätä lääkettä kotelossa ja läpipainopakkauksessa mainitun viimeisen käyttöpäivämäärän jälkeen (EXP). Viimeinen käyttöpäivämäärä tarkoittaa kuukauden viimeistä päivää.
Tämä lääke ei vaadi erityisiä säilytysolosuhteita.
Levonorgestreeli/etinyyliestradioli voi aiheuttaa haittaa vesiympäristössä. Lääkkeitä ei tule heittää viemäriin eikä hävittää talousjätteiden mukana. Kysy käyttämättömien lääkkeiden hävittämisestä apteekista. Näin menetellen suojelet luontoa.
6. Pakkauksen sisältö ja muuta tietoa
Mitä Levesia sisältää
Vaikuttavat aineet ovat 100 mikrogrammaa levonorgestreelia ja 20 mikrogrammaa etinyyliestradiolia.
Levesia-tabletteja on kahta eri väriä:
- Jokainen vaaleanpunainen tabletti sisältää 100 mikrogrammaa levonorgestreelia ja 20 mikrogrammaa etinyyliestradiolia. Muut aineet (apuaineet) ovat laktoosi, povidoni K-30 (E1201), magnesiumstearaatti (E470b) ja vaaleanpunainen päällysteaine (osittain hydrolysoitu polyvinyylialkoholi [E1203], talkki [E553b], titaanidioksidi [E171], makrogoli 3350, alluranpunainen AC alumiinilakka [E129], lesitiini [E322], punainen rautaoksidi [E172] ja indigokarmiinin alumiinilakka [E132]).
- Jokainen valkoinen tabletti (lumetabletti) sisältää vain seuraavia apuaineita (ei vaikuttavia aineita): laktoosi, povidoni K-30 (E1201), magnesiumstearaatti (E470b) ja valkoinen päällysteaine (osittain hydrolysoitu polyvinyylialkoholi [E1203], talkki [E553b], titaanidioksidi [E171], makrogoli 3350).
Lääkevalmisteen kuvaus ja pakkauskoot
Aktiiviset tabletit ovat vaaleanpunaisia ja pyöristettyjä, ja niiden halkaisija on noin 5,7 mm.
Lumetabletit ovat valkoisia ja pyöristettyjä, ja niiden halkaisija on noin 5,7 mm.
Jokainen läpipainopakkaus sisältää 21 vaaleanpunaista, kalvopäällysteistä, aktiivista tablettia riveillä 1, 2 ja 3 sekä 7 valkoista, kalvopäällysteistä lumetablettia rivillä 4.
Levesia-valmiste on saatavilla 1, 3, 6 tai 13 läpipainopakkauksen rasioissa. Jokainen läpipainopakkaus sisältää 28 tablettia.
Kaikkia pakkauskokoja ei välttämättä ole myynnissä.
Myyntiluvan haltija ja valmistaja
Myyntiluvan haltija
Exeltis Healthcare S.L.
Av.Miralcampo 7-Poligono Ind.Miralcampo
19200 Azuqueca de Henares
Guadalajara, Espanja
Paikallinen edustaja
Exeltis Sverige AB
Strandvägen 7A
114 56 Stockholm
Ruotsi
Valmistaja
Laboratorios León Farma, S.A.
Polígono Industrial Navatejera, La Vallina S/N
24193 Villaquilambre (Leon) - Espanja
Tällä lääkevalmisteella on myyntilupa Euroopan talousalueeseen kuuluvissa jäsenvaltioissa seuraavilla kauppanimillä:
Belgia: Tanska: | Levesialle Continu 20 0,10 mg/0,02 mg comprimés pelliculés Mirabella 28, filmovertrukne tabletter |
Suomi: | Levesia 100 mikrog/20 mikrog kalvopäällysteiset tabletit |
Ranska: | ASTERLUNA CONTINU 100 microgrammes/20 microgrammes, comprimé pelliculé |
Italia: | Lasca 100 microgrammi/20 microgrammi compresse rivestite con film |
Luxemburg: | Levesialle Continu 20 0,10 mg/0,02 mg comprimés pelliculés |
Norja: | Mirabella 100 mikrogram/20 mikrogram filmdrasjerte tabletter |
Espanja: | Levesialle Diario 0,10 mg/0,02 mg comprimidos recubiertos con película EFG |
Ruotsi: | Levesia 100 mikrogram/20 mikrogram filmdragerad tablett |
Tämä pakkausseloste on tarkistettu viimeksi 11.04.2025