Dizminelle 0,02 mg / 3 mg kalvopäällysteiset tabletit
etinyyliestradioli / drospirenoni
Yleisiä ohjeita
Lue tämä pakkausseloste huolellisesti ennen kuin aloitat tämän lääkkeen käyttämisen, sillä se sisältää sinulle tärkeitä tietoja.
- Säilytä tämä pakkausseloste. Voit tarvita sitä myöhemmin.
- Jos sinulla on kysyttävää, käänny lääkärin, apteekkihenkilökunnan tai sairaanhoitajan puoleen.
- Tämä lääke on määrätty vain sinulle eikä sitä pidä antaa muiden käyttöön. Se voi aiheuttaa haittaa muille, vaikka heillä olisikin samanlaiset oireet kuin sinulla.
- Jos havaitset haittavaikutuksia, kerro niistä lääkärille, apteekkihenkilökunnalle tai sairaanhoitajalle. Tämä koskee myös sellaisia mahdollisia haittavaikutuksia, joita ei ole mainittu tässä pakkausselosteessa. Ks. kohta Mahdolliset haittavaikutukset.
Tärkeitä tietoja yhdistelmäehkäisyvalmisteista:
- Oikein käytettyinä ne ovat yksi luotettavimmista palautuvista raskaudenehkäisykeinoista.
- Ne suurentavat laskimo- ja valtimoveritulppien riskiä hieman erityisesti ensimmäisen käyttövuoden aikana tai kun yhdistelmäehkäisyvalmisteen käyttö aloitetaan uudelleen vähintään 4 viikon tauon jälkeen.
- Tarkkaile vointiasi ja mene lääkäriin, jos arvelet, että sinulla saattaa olla veritulpan oireita (ks. kohta Mitä sinun on tiedettävä ennen valmisteen käyttöä ”Veritulpat”).
Tässä pakkausselosteessa kerrotaan
1. Mitä Dizminelle on ja mihin sitä käytetään
2. Mitä sinun on tiedettävä, ennen kuin käytät Dizminelle-valmistetta
3. Miten Dizminelle-valmistetta käytetään
4. Mahdolliset haittavaikutukset
5. Dizminelle-valmisteen säilyttäminen
6. Pakkauksen sisältö ja muuta tietoa
1. Mitä valmiste on ja mihin sitä käytetään
- Dizminelle on ehkäisytabletti, jota käytetään raskauden ehkäisyyn.
- Läpipainopakkauksen jokainen vaaleanpunainen tabletti (yhteensä 24 tablettia) sisältää pienen määrän kahta eri naishormonia (drospirenonia ja etinyyliestradiolia).
- Läpipainopakkauksen neljä valkoista tablettia eivät sisällä vaikuttavia aineita, minkä vuoksi niitä kutsutaan lumetableteiksi (plasebo).
- Kahta eri hormonia sisältäviä ehkäisypillereitä kutsutaan yhdistelmäehkäisytableteiksi.
2. Mitä sinun on tiedettävä ennen valmisteen käyttöä
Yleistä
Ennen kuin aloitat Dizminelle-valmisteen käyttämisen, lue veritulppia koskevat tiedot kohdasta Mitä sinun on tiedettävä ennen valmisteen käyttöä. On erityisen tärkeää, että luet veritulpan oireita kuvaavan kohdan – ks. kohta Mitä sinun on tiedettävä ennen valmisteen käyttöä ”Veritulpat”).
Ennen kuin voit aloittaa Dizminelle-valmisteen käytön, lääkäri esittää sinulle kysymyksiä sinun ja lähisukulaistesi terveydentilasta. Lisäksi lääkäri mittaa verenpaineesi ja voi henkilökohtaisesta tilanteestasi riippuen tehdä myös joitakin muita tutkimuksia.
Tässä pakkausselosteessa kuvataan eri tilanteita, joissa Dizminelle-valmisteen käyttö pitää lopettaa tai joissa valmisteen ehkäisyteho on saattanut heikentyä. Näissä tilanteissa on pidättäydyttävä yhdynnästä tai käytettävä lisäksi ei-hormonaalista ehkäisymenetelmää, kuten kondomia tai muuta estemenetelmää. Älä käytä rytmimenetelmää tai peruslämmönmittausta. Nämä menetelmät eivät ole luotettavia, sillä Dizminelle vaikuttaa kuukautiskierron aikana tapahtuviin muutoksiin kehon peruslämmössä ja kohdunkaulan eritteessä.
Dizminelle ei suojaa HIV-tartunnalta (AIDS) eikä muilta sukupuolitaudeilta, kuten eivät muutkaan ehkäisytabletit.
Milloin Dizminelle-valmistetta ei pidä käyttää?
Sinun ei pidä käyttää Dizminelle-valmistetta, jos sinulla on jokin alla mainituista tiloista. Jos sinulla on jokin alla mainituista tiloista, sinun on kerrottava siitä lääkärille. Lääkäri keskustelee kanssasi muista, sinulle paremmin soveltuvista ehkäisymenetelmistä.
Älä käytä Dizminelle-valmistetta
- jos sinulla on (tai on joskus ollut) veritulppa jalkojesi verisuonissa (syvä laskimotukos, SLT) tai keuhkoissa (keuhkoembolia) tai muualla elimistössä
- jos tiedät, että sinulla on jokin veren hyytymiseen vaikuttava sairaus – esimerkiksi C-proteiinin puutos, S-proteiinin puutos, antitrombiini III:n puutos, Faktori V Leiden tai fosfolipidivasta-aineita
- jos joudut leikkaukseen tai joudut olemaan vuodelevossa pitkän aikaa (ks. kohta ”Veritulpat”)
- jos sinulla on joskus ollut sydänkohtaus tai aivohalvaus
- jos sinulla on (tai on joskus ollut) angina pectoris (sairaus, joka aiheuttaa voimakasta rintakipua ja joka voi olla sydänkohtauksen ensimmäinen merkki) tai ohimenevä aivoverenkiertohäiriö (TIA – ohimeneviä aivohalvauksen oireita)
- jos sinulla on jokin seuraavista sairauksista, jotka saattavat lisätä tukosten kehittymisen riskiä valtimoissa:
- vaikea diabetes, johon liittyy verisuonivaurioita
- hyvin korkea verenpaine
- hyvin suuri veren rasva-ainepitoisuus (kolesteroli tai triglyseridit)
- sairaus nimeltä hyperhomokysteinemia (veren homokysteiinin runsaus)
- jos sinulla on (tai on joskus ollut) niin sanottu aurallinen migreeni
- jos sinulla on (tai on joskus ollut) maksasairaus ja jos maksan toiminta ei ole vielä palautunut normaaliksi
- jos sinulla on heikentynyt munuaisten toiminta (munuaisten vajaatoiminta)
- jos sinulla on (tai on joskus ollut) maksakasvain
- jos sinulla on (tai on joskus ollut) tai epäillään olevan rintasyöpä tai sukuelinten syöpä
- jos sinulla on selittämätöntä verenvuotoa emättimestä
- jos olet allerginen etinyyliestradiolille tai drospirenonille tai tämän lääkkeen jollekin muulle aineelle (lueteltu kohdassa Pakkauksen sisältö ja muuta tietoa). Yliherkkyys voi ilmetä kutinana, ihottumana tai turvotuksena.
- Älä käytä Dizminelle-valmistetta, jos sinulla on hepatiitti C ja käytät ombitasviirin, paritapreviirin ja ritonaviirin yhdistelmää ja dasabuviiria, glekapreviirin ja pibrentasviirin yhdistelmää tai sofosbuviirin, velpatasviirin ja voksilapreviirin yhdistelmää sisältäviä lääkevalmisteita (ks. myös kohta Muut lääkevalmisteet ja Dizminelle).
Lisätietoa erityispotilasryhmistä
Lapset ja nuoret
Dizminelle ei ole tarkoitettu tytöille, joiden kuukautiset eivät vielä ole alkaneet.
Iäkkäät naiset
Dizminelle ei ole tarkoitettu vaihdevuosien jälkeiseen käyttöön.
Maksan vajaatoiminta
Älä käytä Dizminelle-valmistetta, jos sinulla on maksasairaus. Katso myös kohdat ”Älä käytä Dizminelle-valmistetta” ja ”Varoitukset ja varotoimet”.
Munuaisten vajaatoiminta
Älä käytä Dizminelle-valmistetta, jos munuaisesi eivät toimi kunnolla tai sinulla on äkillinen munuaisten vajaatoiminta. Katso myös kohdat ”Älä käytä Dizminelle-valmistetta” ja ”Varoitukset ja varotoimet”.
Varoitukset ja varotoimet
Milloin pitää ottaa yhteyttä lääkäriin?
Hakeudu välittömästi lääkärin hoitoon
- jos huomaat mahdollisia veritulpan oireita, jolloin sinulla voi olla veritulppa jalassa (syvä laskimotukos), veritulppa keuhkoissa (keuhkoembolia), sydänkohtaus tai aivohalvaus (ks. kohta ”Veritulpat” jäljempänä).
Näiden vakavien haittavaikutusten kuvaukset löydät kohdasta ”Veritulpan tunnistaminen”.
Kerro lääkärille, jos jokin seuraavista tiloista koskee sinua
Joissakin tilanteissa sinun tulee olla erityisen varovainen käyttäessäsi Dizminelle-valmistetta tai muita yhdistelmäehkäisytabletteja, ja voi olla tarpeen, että käyt säännöllisesti lääkärin vastaanotolla. Kerro lääkärille myös silloin, jos jokin näistä tiloista ilmaantuu tai pahenee sinä aikana, kun käytät Dizminelle-valmistetta:
- jos lähisukulaisellasi on tai on joskus ollut rintasyöpä
- jos sinulla on maksa- tai sappirakkosairaus
- jos sinulla on diabetes
- jos olet masentunut
- jos sinulla on Crohnin tauti tai haavainen paksusuolitulehdus (krooninen tulehduksellinen suolistosairaus)
- jos sinulla on systeeminen lupus erythematosus (SLE – immuunijärjestelmään vaikuttava sairaus)
- jos sinulla on hemolyyttis-ureeminen oireyhtymä (HUS – munuaisten vajaatoimintaa aiheuttava veren hyytymishäiriö)
- jos sinulla on sirppisoluanemia (perinnöllinen, punasoluihin liittyvä sairaus)
- jos sinulla suurentunut veren rasva-arvo (hypertriglyseridemia) tai jos tätä tilaa on esiintynyt suvussasi. Hypertriglyseridemiaan on liitetty suurentunut haimatulehduksen kehittymisen riski
- jos joudut leikkaukseen tai joudut olemaan vuodelevossa pitkän aikaa (ks. kohta Mitä sinun on tiedettävä ennen valmisteen käyttöä ”Veritulpat”)
- jos olet äskettäin synnyttänyt, sinulla on suurentunut veritulppariski. Kysy lääkäriltä, kuinka pian synnytyksen jälkeen voit aloittaa Dizminelle-valmisteen käytön
- jos sinulla on ihonalainen verisuonitulehdus (pinnallinen laskimontukkotulehdus)
- jos sinulla on suonikohjuja
- jos sinulla on epilepsia (ks. sivu 5 ”Muut lääkevalmisteet ja Dizminelle”)
- jos sinulla on sairaus, joka ilmeni ensimmäisen kerran raskauden tai sukuhormonien aiemman käytön aikana (esim. kuulon heikentyminen, porfyriaksi kutsuttu verisairaus, raskaudenaikainen rakkulaihottuma [Herpes gestationis] tai pakkoliikkeitä aiheuttava hermostosairaus [Sydenhamin korea])
- jos sinulla on (tai on joskus ollut) kellanruskeita ihon pigmenttiläiskiä (maksaläiskiä) erityisesti kasvoissa. Vältä tällöin suoraa altistumista auringonvalolle ja ultraviolettisäteilylle.
- Jos sinulle ilmaantuu angioedeeman oireita, kuten kasvojen, kielen ja/tai nielun turvotusta ja/tai nielemisvaikeuksia tai nokkosihottumaa, johon voi liittyä hengitysvaikeuksia, ota heti yhteys lääkäriin. Estrogeeniä sisältävät valmisteet saattavat aiheuttaa tai pahentaa perinnöllisen tai hankinnaisen angioedeeman oireita.
- Keskustele lääkärin kanssa ennen kuin käytät Dizminelle-valmistetta.
VERITULPAT
Yhdistelmäehkäisyvalmisteen, kuten esimerkiksi Dizminelle-valmisteen, käyttö suurentaa riskiä saada veritulppa verrattuna niihin, jotka eivät käytä tällaista valmistetta. Harvinaisissa tapauksissa veritulppa voi tukkia verisuonet ja aiheuttaa vakavia haittoja.
Veritulppia voi kehittyä:
- laskimoihin (tällöin puhutaan laskimoveritulpasta, laskimotromboemboliasta tai VTE:sta)
- valtimoihin (tällöin puhutaan valtimoveritulpasta, valtimotromboemboliasta tai ATE:sta)
Veritulpista ei aina toivu täydellisesti. Harvinaisissa tapauksissa voi ilmetä vakavia, pysyviä vaikutuksia, ja erittäin harvoin ne voivat johtaa kuolemaan.
On tärkeää muistaa, että kokonaisriski saada vahingollinen veritulppa Dizminelle-valmisteen käytön vuoksi on pieni.
VERITULPAN TUNNISTAMINEN
Hakeudu välittömästi lääkärin hoitoon, jos huomaat jonkin seuraavista oireista tai merkeistä.
Onko sinulla jokin näistä merkeistä?
|
Mahdollinen selitys
|
- toisen jalan turvotus tai laskimon myötäinen turvotus jalassa, varsinkin kun siihen liittyy:
- kivun tai arkuuden tunne jalassa, mikä saattaa tuntua ainoastaan seistessä tai kävellessä
- lisääntynyt lämmöntunne samassa jalassa
- jalan ihon värin muuttuminen esim. kalpeaksi, punaiseksi tai sinertäväksi
|
Syvä laskimoveritulppa
|
- äkillinen selittämätön hengenahdistus tai nopea hengitys
- äkillinen yskä ilman selvää syytä; yskän mukana voi tulla veriysköksiä
- pistävä rintakipu, joka voi voimistua syvään hengitettäessä
- vaikea pyörrytys tai huimaus
- nopea tai epäsäännöllinen sydämen syke
- vaikea vatsakipu
Jos olet epävarma, keskustele asiasta lääkärin kanssa, sillä jotkin näistä oireista (esim. yskä ja hengenahdistus), voidaan sekoittaa lievempiin sairauksiin kuten hengitystieinfektioon (esim. tavalliseen flunssaan).
|
Keuhkoembolia (keuhkoveritulppa)
|
Oireita esiintyy yleensä yhdessä silmässä:
- välitön näön menetys tai
- kivuton näön hämärtyminen, mikä voi edetä näön menetykseen
|
Verkkokalvon laskimotukos (veritulppa silmässä)
|
- rintakipu tai epämiellyttävä olo, paineen tunne tai painon tunne rinnassa
- puristuksen tai täysinäisyyden tunne rinnassa, käsivarressa tai rintalastan takana
- täysinäisyyden tunne, ruoansulatushäiriöt tai tukehtumisen tunne
- ylävartalossa epämiellyttävä olo, joka säteilee selkään, leukaan, kurkkuun, käsivarteen ja vatsaan
- erittäin voimakas heikkouden tunne, ahdistuneisuus ja hengenahdistus
- nopea tai epäsäännöllinen sydämen syke
- hikoilu, pahoinvointi, oksentelu tai huimaus
|
Sydänkohtaus
|
- äkillinen kasvojen, käsivarsien tai jalkojen heikkous tai tunnottomuus, varsinkin toispuolisesti
- äkillinen sekavuus, puhe- tai ymmärtämisvaikeudet
- äkillinen näön heikentyminen joko toisessa tai molemmissa silmissä
- äkillinen kävelyn vaikeutuminen, huimaus tai tasapainon tai koordinaatiokyvyn heikentyminen
- äkillinen, vaikea tai pitkittynyt päänsärky, jolle ei tiedetä syytä
- tajunnan menetys tai pyörtyminen, johon saattaa liittyä kouristuskohtaus
- Joskus aivohalvauksen oireet voivat olla lyhytkestoisia ja toipuminen niistä lähes välitöntä ja täydellistä. Sinun pitää silti hakeutua välittömästi lääkäriin, koska vaarana voi olla toinen aivohalvaus.
|
Aivohalvaus
|
- raajan turvotus ja lievä sinerrys
- voimakas vatsakipu (akuutti vatsa)
|
Muita verisuonia tukkivat veritulpat
|
LASKIMOVERITULPAT
Mitä voi tapahtua, jos laskimoon kehittyy veritulppa?
- Yhdistelmäehkäisyvalmisteiden käyttöön on liitetty laskimoveritulppien (laskimotromboosien) lisääntynyt riski. Nämä haittavaikutukset ovat kuitenkin harvinaisia. Useimmin niitä esiintyy yhdistelmäehkäisyvalmisteen ensimmäisen käyttövuoden aikana.
- Jos jalan tai jalkaterän laskimossa kehittyy veritulppa, se voi aiheuttaa syvän laskimotukoksen (SLT).
- Jos hyytymä lähtee liikkeelle jalasta ja asettuu keuhkoihin, se voi saada aikaan keuhkoveritulpan (keuhkoembolia).
- Hyvin harvoin tällainen hyytymä voi kehittyä jonkin toisen elimen laskimoon, esim. silmään (verkkokalvon laskimoveritulppa).
Milloin laskimoveritulpan kehittymisen riski on suurin?
Laskimoveritulpan kehittymisen riski on suurimmillaan ensimmäisen vuoden aikana, kun käytät yhdistelmäehkäisyvalmistetta ensimmäistä kertaa elämässäsi. Riski voi olla suurempi myös silloin, jos aloitat yhdistelmäehkäisyvalmisteen käyttämisen uudelleen (sama valmiste tai eri valmiste) vähintään 4 viikon tauon jälkeen.
Ensimmäisen vuoden jälkeen riski pienenee, mutta se on aina hieman suurempi kuin silloin, kun yhdistelmäehkäisyvalmistetta ei käytetä.
Kun lopetat Dizminelle-valmisteen käytön, veritulppariski palautuu normaalille tasolle muutaman viikon kuluessa.
Kuinka suuri on veritulpan kehittymisen riski?
Tämä riski riippuu yksilöllisestä veritulppariskistäsi ja käyttämäsi yhdistelmäehkäisyvalmisteen tyypistä.
Riski veritulpan kehittymiselle jalkaan (syvä laskimotukos) tai keuhkoihin (keuhkoveritulppa) on kaiken kaikkiaan pieni Dizminelle-valmistetta käytettäessä.
- Noin kahdelle naiselle 10 000:sta, jotka eivät käytä mitään yhdistelmäehkäisyvalmistetta eivätkä ole raskaana, kehittyy veritulppa vuoden aikana.
- Noin 5–7 naiselle 10 000:sta, jotka käyttävät levonorgestreelia tai noretisteronia tai norgestimaattia sisältävää yhdistelmäehkäisyvalmistetta, kehittyy veritulppa vuoden aikana.
- Noin 9–12 naiselle 10 000:sta, jotka käyttävät drospirenonia sisältävää yhdistelmäehkäisyvalmistetta, kuten esimerkiksi Dizminelle-valmistetta, kehittyy veritulppa vuoden aikana.
- Veritulpan saamisen riski vaihtelee oman sairaushistoriasi mukaan (ks. jäljempänä kohta ”Tekijöitä, jotka suurentavat riskiä saada laskimoveritulppa”).
|
Veritulpan saamisen riski vuoden aikana
|
Naiset, jotka eivät käytä mitään yhdistelmäehkäisytablettia/-laastaria/-rengasta eivätkä ole raskaana
|
Noin 2 naista 10 000:sta
|
Naiset, jotka käyttävät levonorgestreelia, noretisteronia tai norgestimaattia sisältävää yhdistelmäehkäisyvalmistetta
|
Noin 5–7 naista 10 000:sta
|
Naiset, jotka käyttävät Dizminelle-valmistetta
|
Noin 9–12 naista 10 000:sta
|
Tekijöitä, jotka suurentavat riskiä saada laskimoveritulppa
Veritulpan riski on Dizminelle-valmistetta käytettäessä pieni, mutta jotkin tilat tai sairaudet suurentavat riskiä. Riskisi on suurempi:
- jos olet merkittävästi ylipainoinen (painoindeksi eli BMI yli 30 kg/m2)
- jos jollakin lähisukulaisellasi on ollut veritulppa jalassa, keuhkoissa tai muussa elimessä nuorella iällä (esim. alle 50-vuotiaana). Tässä tapauksessa sinulla saattaa olla perinnöllinen veren hyytymishäiriö.
- jos joudut leikkaukseen tai jos joudut olemaan vuodelevossa pitkään jonkin vamman tai sairauden takia, tai jos sinulla on kipsi jalassa. Dizminelle-valmisteen käyttö on ehkä lopetettava muutamaa viikkoa ennen leikkausta tai sitä aikaa, jolloin et pääse juurikaan liikkumaan. Jos sinun pitää lopettaa Dizminelle-valmisteen käyttö, kysy lääkäriltä, milloin voit aloittaa käytön uudelleen.
- iän myötä (erityisesti yli 35-vuotiailla)
- jos olet synnyttänyt muutaman viikon sisällä.
Veritulpan kehittymisen riski suurenee sen myötä, mitä enemmän erilaisia sairauksia tai tiloja sinulla on.
Lentomatka (> 4 tuntia) saattaa väliaikaisesti lisätä veritulpan riskiä, erityisesti jos sinulla on jokin toinen luettelossa mainittu riskitekijä.
On tärkeää kertoa lääkärille, jos jokin näistä tiloista koskee sinua, myös vaikka olisit epävarma asiasta. Lääkäri saattaa päättää, että sinun on lopetettava Dizminelle-valmisteen käyttö.
Kerro lääkärille, jos jokin yllä olevista tiloista muuttuu sinä aikana, kun käytät Dizminelle-valmistetta, esimerkiksi lähisukulaisella todetaan verisuonitukos, jonka syytä ei tiedetä, tai painosi nousee huomattavasti.
VALTIMOVERITULPAT
Mitä voi tapahtua, jos valtimoon kehittyy veritulppa?
Kuten laskimossa oleva veritulppa, valtimoonkin kehittynyt veritulppa voi aiheuttaa vakavia ongelmia. Se voi esimerkiksi aiheuttaa sydänkohtauksen tai aivohalvauksen.
Tekijöitä, jotka suurentavat riskiä saada valtimoveritulppa
On tärkeää huomata, että Dizminelle-valmisteen käyttämisestä johtuvan sydänkohtauksen tai aivohalvauksen riski on hyvin pieni, mutta se voi suurentua:
- iän myötä (noin 35 ikävuoden jälkeen)
- jos tupakoit. Kun käytät yhdistelmäehkäisyvalmistetta, kuten esimerkiksi Dizminelle-valmistetta, tupakoinnin lopettaminen on suositeltavaa. Jos et pysty lopettamaan tupakointia ja olet yli 35-vuotias, lääkäri voi kehottaa sinua käyttämään muun tyyppistä raskaudenehkäisyä.
- jos olet ylipainoinen
- jos sinulla on korkea verenpaine
- jos jollakin lähisukulaisellasi on ollut sydänkohtaus tai aivohalvaus nuorella iällä (alle 50- vuotiaana). Tässä tapauksessa myös sinulla voi olla suurempi sydänkohtauksen tai aivohalvauksen riski.
- jos sinulla tai jollakin lähisukulaisellasi on korkea veren rasvapitoisuus (kolesteroli tai triglyseridit)
- jos sinulla on migreenikohtauksia, erityisesti aurallisia
- jos sinulla on jokin sydänsairaus (läppävika tai rytmihäiriö, jota kutsutaan eteisvärinäksi)
- jos sinulla on diabetes.
Jos yllämainituista tiloista useampi kuin yksi koskee sinua, tai jos yksikin niistä on erityisen vaikea, veritulpan saamisen riski voi olla vieläkin suurempi.
Kerro lääkärille, jos jokin yllä olevista tiloista muuttuu sinä aikana, kun käytät Dizminelle-valmistetta, esimerkiksi jos aloitat tupakoinnin, jos lähisukulaisella todetaan verisuonitukos, jonka syytä ei tiedetä, tai jos painosi nousee huomattavasti.
Dizminelle ja syöpä
Rintasyöpää on todettu hieman useammin yhdistelmäehkäisytabletteja käyttävillä naisilla, mutta sen yhteyttä yhdistelmäehkäisytablettien käyttöön ei tunneta. Yhdistelmäehkäisytabletteja käyttäviä naisia tutkitaan säännöllisemmin ja on mahdollista, että kasvaimia todetaan sen vuoksi enemmän. Löydettyjen rintakasvainten esiintyvyys vähenee yhdistelmäehkäisytablettien käytön lopettamisen jälkeen. On tärkeää, että tutkit rintasi säännöllisesti, ja otat yhteyttä lääkäriisi, jos havaitset mahdollisen kyhmyn.
Harvoissa tapauksissa yhdistelmäehkäisytablettien käyttäjillä on todettu hyvänlaatuisia ja vielä harvemmin pahanlaatuisia maksakasvaimia. Ota yhteyttä lääkäriin, jos sinulla esiintyy tavanomaista voimakkaampaa vatsakipua.
Psyykkiset häiriöt
Jotkut hormonaalisia ehkäisyvalmisteita, myös Dizminelleä käyttävät naiset ovat ilmoittaneet masennuksesta tai masentuneesta mielialasta. Masennus voi olla vakavaa ja aiheuttaa toisinaan myös itsetuhoisia ajatuksia. Jos koet mielialan muutoksia ja masennusoireita, ota mahdollisimman pian yhteyttä lääkäriin, jotta voit saada neuvontaa.
Ylimääräinen vuoto kuukautisten välillä
Ensimmäisten Dizminelle-valmisteen käyttökuukausien aikana sinulla saattaa esiintyä odottamatonta verenvuotoa (vuoto muina kuin lumetablettipäivinä). Jos verenvuoto jatkuu muutamaa kuukautta pidempään tai jos ylimääräinen vuoto ilmaantuu vasta useamman käyttökuukauden jälkeen, lääkärin tulee tutkia vuodon syy.
Mitä tehdä, jos kuukautisvuoto ei ala lumetablettien käytön aikana
Jos olet ottanut kaikki vaaleanpunaiset, vaikuttavia aineita sisältävät tabletit ohjeen mukaisesti, et ole oksentanut, sinulla ei ole ollut vaikeaa ripulia etkä ole käyttänyt muita lääkkeitä, on erittäin epätodennäköistä, että olisit raskaana.
Jos kuukautiset jäävät tulematta kaksi kertaa peräkkäin, saatat olla raskaana. Ota välittömästi yhteyttä lääkäriin. Aloita seuraava läpipainopakkaus vasta sitten, kun olet varma, ettet ole raskaana.
Muut lääkevalmisteet ja Dizminelle
Kerro Dizminelle-valmistetta määräävälle lääkärille, mitä lääkkeitä tai rohdosvalmisteita käytät. Kerro myös muille lääkkeitä määrääville lääkäreille tai hammaslääkäreille (tai apteekin henkilökunnalle), että käytät Dizminelle-valmistetta. He kertovat sinulle, jos sinun pitää käyttää lisäehkäisyä (esimerkiksi kondomia) ja miten pitkään lisäehkäisyä tulee käyttää tai jos toista lääkitystä tulee vaihtaa.
Älä käytä Dizminelle-valmistetta, jos sinulla on hepatiitti C ja käytät lääkevalmisteita, jotka sisältävät ombitasviirin, paritapreviirin ja ritonaviirin yhdistelmää ja dasabuviiria, glekapreviirin ja pibrentasviirin tai sofosbuviirin, velpatasviirin ja voksilapreviirin yhdistelmää, koska nämä valmisteet voi aiheuttaa maksan toimintakoearvojen kohoamista verikokeissa (kohonnut ALAT- maksaentsyymiarvo).
Lääkäri määrää erityyppisen ehkäisyvalmisteen ennen näiden lääkevalmisteiden käytön aloittamista.
Dizminelle-valmisteen käyttö voidaan aloittaa uudelleen noin kaksi viikkoa tämän hoidon päättymisen jälkeen. Ks. kohta ”Älä käytä Dizminelle-valmistetta”.
Eräät lääkkeet:
- voivat vaikuttaa Dizminelle-valmisteen määrään veressä
- voivat heikentää Dizminelle-valmisteen ehkäisytehoa
- voivat aiheuttaa odottamatonta verenvuotoa.
Näihin kuuluvat:
- lääkkeet, joita käytetään seuraavien sairauksien hoitoon:
- epilepsialääkkeet (esim. primidoni, fenytoiini, barbituraatit, karbamatsepiini, okskarbatsepiini)
- tuberkuloosilääkkeet (esim. rifampisiini)
- HIV-lääkkeet ja hepatiitti C -virusinfektion hoitoon käytettävät lääkkeet (nk. proteaasin estäjät ja ei-nukleosidirakenteiset käänteiskopioijaentsyymin estäjät kuten ritonaviiri, nevirapiini, efavirentsi)
- sieni-infektiot (esim. griseofulviini, ketokonatsoli)
- nivelrikko, nivelreuma (etorikoksibi)
- keuhkoverisuonten korkean verenpaineen hoitoon käytettävä bosentaani
- mäkikuismaa sisältävät rohdosvalmisteet.
Dizminelle-valmiste voi vaikuttaa muiden lääkkeiden tehoon. Tällaisia lääkkeitä ovat mm.
- siklosporiinia sisältävät valmisteet
- epilepsialääke lamotrigiini (samanaikainen käyttö voi johtaa epilepsiakohtausten lisääntymiseen)
- teofylliini (käytetään hengitysongelmien hoitoon)
- titsanidiini (käytetään lihaskipujen ja/tai lihaskramppien hoitoon).
Kysy lääkäriltä tai apteekkihenkilökunnalta neuvoa ennen minkään lääkkeen käyttöä.
Laboratoriotutkimukset
Jos menet verikokeeseen, kerro lääkärille tai laboratoriohenkilökunnalle, että käytät ehkäisytabletteja, sillä ne voivat vaikuttaa joihinkin tutkittaviin arvoihin.
Raskaus, imetys ja hedelmällisyys
Jos olet raskaana tai imetät, epäilet olevasi raskaana tai jos suunnittelet lapsen hankkimista, kysy lääkäriltä tai apteekista neuvoa ennen tämän lääkkeen käyttöä.
Raskaus
Dizminelle-valmistetta ei saa käyttää raskauden aikana. Jos tulet raskaaksi Dizminelle-tablettien käytön aikana, lopeta tablettien käyttö välittömästi ja ota yhteys lääkäriin. Jos haluat tulla raskaaksi, voit lopettaa Dizminelle-valmisteen käytön milloin tahansa (ks. myös ”Jos lopetat Dizminelle-valmisteen käytön”).
Imetys
Dizminelle-valmisteen käyttöä ei yleensä suositella imetyksen aikana. Jos haluat käyttää ehkäisytabletteja imetyksen aikana, kysy neuvoa lääkäriltä.
Ajaminen ja koneiden käyttö
Dizminelle-valmisteen ei tiedetä vaikuttavan kykyyn ajaa autoa tai käyttää koneita.
Dizminelle sisältää laktoosia ja natriumia
Jos lääkäri on kertonut, että sinulla on jokin sokeri-intoleranssi, keskustele lääkärisi kanssa ennen tämän lääkevalmisteen ottamista.
Tämä lääkevalmiste sisältää alle 1 mmol natriumia (23 mg) per tabletti eli sen voidaan sanoa olevan ”natriumiton”.
3. Miten valmistetta käytetään
Käytä tätä lääkettä juuri siten kuin lääkäri on määrännyt. Tarkista ohjeet lääkäriltä tai apteekista, jos olet epävarma.
Jokainen läpipainopakkaus sisältää 24 vaaleanpunaista tablettia, jotka sisältävät vaikuttavia aineita, ja 4 valkoista lumetablettia.
Vaaleanpunaiset ja valkoiset Dizminelle-tabletit ovat läpipainopakkauksessa tietyssä järjestyksessä. Yhdessä läpipainopakkauksessa on 28 tablettia.
Ota yksi Dizminelle-tabletti joka päivä, tarvittaessa pienen vesimäärän kanssa. Tabletin voi ottaa joko ruoan kanssa tai ilman. Tabletit tulee ottaa joka päivä suunnilleen samaan aikaan.
Älä sekoita tabletteja keskenään: Ota vaaleanpunainen tabletti ensimmäiset 24 päivää, ja sen jälkeen valkoinen tabletti neljä viimeistä päivää. Aloita sen jälkeen heti uusi läpipainopakkaus (24 vaaleanpunaista ja sen jälkeen 4 valkoista tablettia). Kahden läpipainopakkauksen välillä ei siis pidetä taukoa.
Tablettien erilaisesta koostumuksesta johtuen on välttämätöntä ottaa ensin vasemmassa yläreunassa oleva vaaleanpunainen tabletti. Ota yksi tabletti joka päivä liuskaan painettujen nuolten osoittamassa suunnassa.
Läpipainopakkauksen käyttöönotto
Oikean tablettijärjestyksen ylläpitämiseksi pakkauksesta löytyy jokaiselle Dizminelle-läpipainopakkaukselle 7 tarraliuskaa, joihin on merkitty viikonpäivät (ma–su). Valitse viikkotarra, joka alkaa siitä päivästä, jolloin aloitat tablettien ottamisen. Jos esimerkiksi aloitat tablettien ottamisen keskiviikkona, valitse viikkotarra, jonka ensimmäisen päivän kohdalla on ”KE”.
Kiinnitä sopiva viikkotarra läpipainopakkauksen yläreunassa olevaan aloituskohtaan.
Nyt jokaisen tabletin yläpuolella näkyy viikonpäivä, minkä avulla voit tarkistaa, oletko ottanut tabletin tiettynä päivänä. Ota tabletit nuolten osoittamassa järjestyksessä.
Vuodon (nk. tyhjennysvuoto) tulisi alkaa niiden 4 päivän aikana, jolloin otat valkoiset lumetabletit (lumepäivät). Vuoto alkaa yleensä toisena tai kolmantena päivänä sen jälkeen, kun viimeinen vaikuttavia aineita sisältävä vaaleanpunainen Dizminelle-tabletti on otettu. Kun olet ottanut viimeisen valkoisen tabletin, aloita suoraan seuraava läpipainopakkaus riippumatta siitä, onko vuoto päättynyt. Tämä tarkoittaa sitä, että jokainen läpipainopakkaus aloitetaan aina samana viikonpäivänä, ja tyhjennysvuodon tulisi tapahtua jokaisen tablettijakson samoina päivinä.
Kun käytät Dizminelle-valmistetta näiden ohjeiden mukaisesti, raskautta ehkäisevä vaikutus jatkuu myös niinä 4 päivänä, jolloin otat lumetabletteja.
Milloin ensimmäinen läpipainopakkaus aloitetaan?
- Jos et ole käyttänyt hormonaalista ehkäisyvalmistetta edeltäneen kuukauden aikana
Aloita Dizminelle-tablettien käyttö kierron ensimmäisenä päivänä (ensimmäisenä vuotopäivänä). Näin toimien Dizminelle-tablettien raskautta ehkäisevä vaikutus alkaa heti ensimmäisenä käyttöpäivänä. Voit aloittaa tablettien käytön myös kierron 2.–5. päivänä, mutta siinä tapauksessa sinun on käytettävä lisäksi jotain muuta ehkäisymenetelmää (esim. kondomia) 7 ensimmäisen tablettipäivän ajan.
- Jos siirryt Dizminelle-valmisteeseen yhdistelmäehkäisytabletista, -ehkäisyrenkaasta tai -ehkäisylaastarista
Aloita Dizminelle-tablettien käyttö mieluiten viimeisen vaikuttavia aineita sisältävän tabletin ottamista seuraavana päivänä mutta viimeistään aiemman tablettivalmisteen käytössä pidettävän tablettitauon jälkeisenä päivänä (tai viimeisen vaikuttavaa ainetta sisältämättömän lumetabletin ottoa seuraavana päivänä). Kun siirryt yhdistelmäehkäisyrenkaasta tai -laastarista Dizminelle-tabletteihin, noudata lääkärin ohjeita.
- Jos siirryt Dizminelle-valmisteeseen pelkkää progestiinia sisältävästä ehkäisyvalmisteesta (ehkäisytabletti (minipilleri), -injektio, -implantaatti tai hormonikierukka)
Voit lopettaa pelkkää progestiinia sisältävien ehkäisytablettien käytön milloin tahansa ja aloittaa Dizminelle-tablettien käytön seuraavana päivänä (tai sinä päivänä, jolloin hormonikierukka tai ehkäisyimplantaatti poistetaan tai kun sinun olisi määrä saada seuraava injektio). Lisäksi sinun tulee käyttää lisäehkäisyä (esim. kondomia) 7 ensimmäisen tablettipäivän ajan.
- Raskauden keskeytymisen jälkeen
Kysy neuvoa lääkäriltä.
Voit aloittaa Dizminelle-tablettien käytön 21–28 vuorokautta synnytyksen jälkeen. Jos aloitat valmisteen käytön myöhemmin kuin 28 päivän kuluttua, sinun tulee käyttää lisäksi estemenetelmää (esim. kondomia) 7 ensimmäisen Dizminelle-tablettipäivän ajan.
Jos olet ollut yhdynnässä synnytyksen jälkeen, ennen kuin aloitat Dizminelle-tablettien käytön (uudelleen), sinun tulee varmistua siitä, että et ole raskaana, tai odottaa seuraavien kuukautisten alkamista.
- Jos imetät ja haluat aloittaa Dizminelle-valmisteen käytön (uudelleen) synnytyksen jälkeen
Lue kohta ”Imetys”, sivu 6.
Pyydä neuvoa lääkäriltä, jos et ole varma siitä, milloin aloittaisit ehkäisytablettien käytön.
Jos otat enemmän Dizminelle-valmistetta kuin sinun pitäisi
Dizminelle-valmisteen yliannostuksen ei ole ilmoitettu aiheuttaneen vakavia haittavaikutuksia.
Jos otat samanaikaisesti useita tabletteja, sinulle voi tulla pahoinvointia tai oksentelua tai verenvuotoa emättimestä. Myös tytöillä, joiden kuukautiset eivät vielä ole alkaneet mutta jotka ovat vahingossa ottaneet tätä lääkettä, voi esiintyä tällaista verenvuotoa.
Jos olet ottanut liian suuren lääkeannoksen tai vaikkapa lapsi on ottanut lääkettä vahingossa, ota aina yhteyttä lääkäriin, sairaalaan tai Myrkytystietokeskukseen (puh. 09 471 977) riskien arvioimiseksi ja lisäohjeiden saamiseksi.
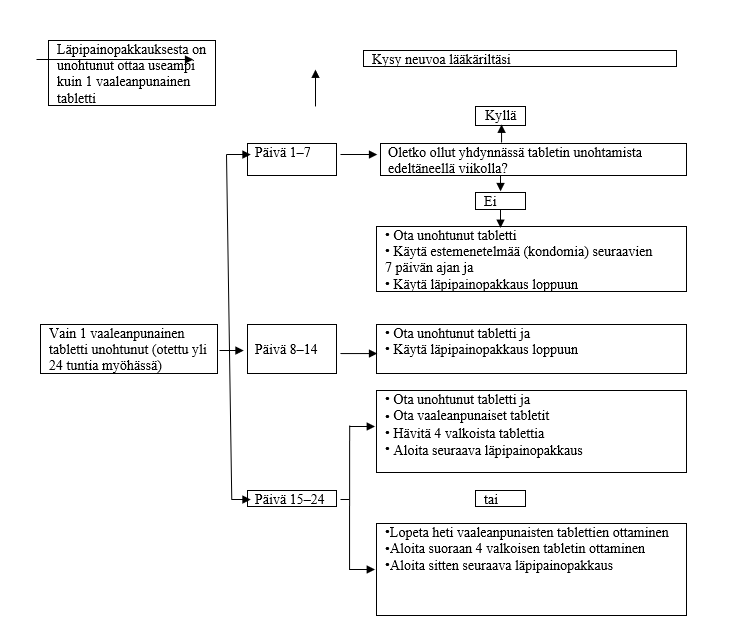
Jos unohdat ottaa Dizminelle-valmistetta
Läpipainopakkauksen neljännen rivin neljä viimeistä tablettia ovat lumetabletteja (eivät sisällä vaikuttavia aineita). Jos unohdat ottaa jonkin näistä tableteista, sillä ei ole vaikutusta Dizminelle-tablettien ehkäisytehoon. Hävitä unohtamasi lumetabletti.
Jos unohdat ottaa vaaleanpunaisen, vaikuttavia aineita sisältävän tabletin (läpipainopakkauksen tabletit 1–24), toimi seuraavalla tavalla:
- Jos yhden tabletin unohtamisesta on kulunut alle 24 tuntia, valmisteen ehkäisyteho ei ole heikentynyt. Ota unohtamasi tabletti heti kun muistat ja seuraavat tabletit tavalliseen tabletinottoaikaan.
- Jos yhden tabletin unohtamisesta on kulunut yli 24 tuntia, valmisteen ehkäisyteho saattaa olla heikentynyt. Mitä useamman tabletin unohdat, sitä suurempi on raskauden alkamisen riski.
Ehkäisytehon heikkenemisen riski on erityisen suuri, jos unohdat ottaa vaaleanpunaisen tabletin läpipainopakkauksen alku- tai loppupäästä. Noudata sen vuoksi seuraavia ohjeita (ks. myös jäljempänä oleva kaavio sivulla 9).
- Olet unohtanut ottaa läpipainopakkauksesta useamman kuin yhden tabletin
Ota yhteyttä lääkäriisi.
- Olet unohtanut yhden tabletin päivinä 1–7 (ensimmäinen tablettirivi)
Ota unohtunut tabletti heti, kun muistat, vaikka joutuisitkin ottamaan kaksi tablettia samalla kertaa, ja ota seuraavat tabletit normaaliin aikaan. Käytä lisäehkäisyä (esim. kondomia) seuraavien 7 päivän ajan. Jos olet ollut yhdynnässä tabletin unohtamista edeltäneen viikon aikana, raskaus on mahdollinen. Ota tällöin yhteys lääkäriin.
- Olet unohtanut yhden tabletin päivinä 8–14 (toinen tablettirivi)
Ota unohtunut tabletti heti, kun muistat, vaikka joutuisitkin ottamaan kaksi tablettia samalla kertaa, ja ota seuraavat tabletit normaaliin aikaan. Valmisteen ehkäisyteho säilyy, eikä lisäehkäisyä tarvita.
- Olet unohtanut yhden tabletin päivinä 15–24 (kolmas tai neljäs tablettirivi)
Voit valita jommankumman seuraavista kahdesta vaihtoehdosta:
1. Ota unohtunut tabletti heti, kun muistat, vaikka joutuisitkin ottamaan kaksi tablettia samalla kertaa, ja ota seuraavat tabletit normaaliin aikaan. Älä ota kyseisen läpipainopakkauksen valkoisia lumetabletteja, vaan hävitä ne ja aloita uusi läpipainopakkaus (aloituspäivä muuttuu).
Tyhjennysvuoto alkaa todennäköisesti vasta toisen läpipainopakkauksen lopussa, valkoisten lumetablettien käytön aikana, mutta toisen läpipainopakkauksen käytön aikana voi esiintyä tiputtelu- tai läpäisyvuotoa.
2. Lopeta vaikuttavia aineita sisältävien vaaleanpunaisten tablettien ottaminen ja aloita suoraan 4 valkoisen lumetabletin ottaminen (ennen lumetablettien ottamista merkitse muistiin päivä, jolloin unohdit tabletin). Jos haluat aloittaa uuden läpipainopakkauksen aina samana viikonpäivänä, ota lumetabletteja vähemmän kuin 4 päivää.
Kun noudatat jompaakumpaa näistä kahdesta vaihtoehdosta, valmisteen ehkäisyteho säilyy.
- Jos olet unohtanut ottaa tabletteja ja vuoto ei ala lumetablettipäivien aikana, saatat olla raskaana. Keskustele lääkärin kanssa, ennen kuin aloitat seuraavan läpipainopakkauksen.

Mitä tehdä, jos oksennat tai sinulla on vaikea ripuli
Jos oksennat 3–4 tunnin sisällä vaikuttavia aineita sisältävän vaaleanpunaisen tabletin ottamisesta tai sinulla on vaikea ripuli, vaikuttavat aineet eivät ehkä ehdi imeytyä kokonaan. Tilanne on lähes sama kuin tabletin unohtuessa. Jos oksennat tai sinulla on ripuli, ota uusi vaaleanpunainen tabletti toisesta läpipainopakkauksesta mahdollisimman pian. Jos mahdollista, ota se 24 tunnin sisällä siitä, kun normaalisti otat tabletin. Jos tämä ei ole mahdollista tai aikaa on kulunut jo yli 24 tuntia, noudata ohjeita, jotka on annettu kohdassa ”Jos unohdat ottaa Dizminelle-tabletin” sivulla 8.
Mitä sinun tulee tietää kuukautisten siirtämisestä
Vaikkei kuukautisten siirtämistä suositella, se on mahdollista. Jätä ottamatta käyttämäsi pakkauksen neljännen rivin valkoiset lumetabletit ja siirry suoraan uuteen Dizminelle-läpipainopakkaukseen. Toisen läpipainopakkauksen käytön aikana voi esiintyä tiputtelu- tai läpäisyvuotoa. Käytä tämä läpipainopakkaus loppuun ottamalla myös neljännen rivin neljä valkoista lumetablettia. Aloita sitten seuraava läpipainopakkaus.
Voit kysyä lääkäriltä neuvoa ennen kuin siirrät kuukautisiasi.
Mitä sinun tulee tietää kuukautisten alkamispäivän muuttamisesta
Jos otat tabletit ohjeiden mukaisesti, kuukautisesi (tyhjennysvuoto) alkavat lumetablettipäivien aikana. Jos muutat kuukautisten alkamispäivää, vähennä lumetablettipäivien määrää (älä koskaan lisää – 4 lumetablettia on enimmäismäärä!). Jos esimerkiksi kuukautisesi alkavat yleensä perjantaina ja haluat niiden alkavan tiistaina (3 päivää aikaisemmin), aloita seuraava pakkaus 3 päivää tavallista aikaisemmin. Vuoto voi jäädä tulematta tauon aikana. Seuraavan läpipainopakkauksen aikana voi esiintyä tiputtelu- tai läpäisyvuotoa.
Jos et ole varma, miten sinun tulisi toimia, käänny lääkärin puoleen.
Jos lopetat Dizminelle-valmisteen käytön
Voit lopettaa Dizminelle-valmisteen käytön milloin tahansa. Jos et halua tulla raskaaksi, kysy lääkäriltä muista luotettavista ehkäisymenetelmistä. Jos haluat tulla raskaaksi, lopeta Dizminelle-valmisteen käyttö ja odota kuukautisvuodon alkamista, ennen kuin yrität tulla raskaaksi. Silloin laskettu aika pystytään määrittämään helpommin.
Jos sinulla on kysymyksiä tämän lääkkeen käytöstä, käänny lääkärin tai apteekkihenkilökunnan puoleen.
4. Mahdolliset haittavaikutukset
Kuten kaikki lääkkeet, tämäkin lääke voi aiheuttaa haittavaikutuksia. Kaikki eivät kuitenkaan niitä saa.
Jos havaitset jonkin haittavaikutuksen, varsinkin jos se on vaikea tai sitkeästi jatkuva, tai jos terveydentilassasi tapahtuu jokin muutos, jonka arvelet johtuvan Dizminelle-valmisteesta, kerro asiasta lääkärille.
Kaikilla yhdistelmäehkäisyvalmisteita käyttävillä naisilla on suurentunut laskimoveritulppien (laskimotromboembolian) ja valtimoveritulppien (valtimotromboembolian) riski. Katso lisätietoja yhdistelmäehkäisyvalmisteiden käyttämisen riskeistä kohdasta Mitä sinun on tiedettävä ennen valmisteen käyttöä.
Ota heti yhteys lääkäriin, jos sinulla esiintyy jokin seuraavista angioedeeman oireista: kasvojen, kielen ja/tai nielun turvotus ja/tai nielemisvaikeudet tai nokkosihottuma, johon voi liittyä hengitysvaikeuksia (ks. myös kohta ˮVaroitukset ja varotoimetˮ).
Seuraavassa on lueteltu haittavaikutukset, jotka on yhdistetty Dizminelle-tablettien käyttöön:
- Yleiset haittavaikutukset (mahdollisia 1–10 käyttäjällä 100 käyttäjästä):
- mielialan vaihtelut
- päänsärky
- pahoinvointi
- rintojen kipu, kuukautisiin liittyvät ongelmat, kuten epäsäännölliset kuukautiset tai kuukautisten poisjääminen.
- Melko harvinaiset haittavaikutukset (mahdollisia 1–10 käyttäjällä 1 000 käyttäjästä):
- masennus, hermostuneisuus, uneliaisuus
- huimaus, pistely
- migreeni, suonikohjut, kohonnut verenpaine
- vatsakipu, oksentelu, vatsavaivat, ilmavaivat, vatsakatarri, ripuli
- akne, kutina, ihottuma
- kipu ja särky, esim. selkäsärky, raajakipu, lihaskrampit
- emättimen sienitulehdus, lantiokipu, rintojen suureneminen, hyvänlaatuiset rintakyhmyt, verenvuoto kohdusta tai emättimestä (häviää yleensä hoidon jatkuessa), emätinvuoto, kuumat aallot, emätintulehdus (vaginiitti), kuukautisiin liittyvät ongelmat, kivuliaat kuukautiset, niukat kuukautiset, hyvin runsaat kuukautiset, emättimen kuivuus, epänormaali papa-näyte, sukupuolivietin väheneminen
- energian puute, lisääntynyt hikoilu, nesteen kertyminen
- painon nousu.
- Harvinaiset haittavaikutukset (mahdollisia 1–10 käyttäjällä 10 000 käyttäjästä):
- kandidiaasi (sienitulehdus)
- anemia, verihiutaleiden määrän lisääntyminen veressä
- allerginen reaktio
- hormonaalinen (endokriininen) häiriö
- ruokahalun lisääntyminen, ruokahalun väheneminen, epänormaalin korkea veren kaliumpitoisuus, epänormaalin matala veren natriumpitoisuus
- kyvyttömyys saavuttaa orgasmi, unettomuus
- huimaus, vapina
- silmävaivat, esim. silmäluomitulehdus, silmien kuivuus
- poikkeavan nopea sydämensyke
- haitallisia veritulppia laskimoissa tai valtimoissa, esimerkiksi:
- jalassa tai jalkaterässä (ts. syvä laskimotukos)
- keuhkoissa (ts. keuhkoembolia)
- sydänkohtaus
- aivohalvaus
- pieniä tai ohimeneviä aivohalvausta muistuttavia oireita (ohimenevä aivoverenkiertohäiriö eli TIA)
- veritulppia maksassa, vatsassa/suolistossa, munuaisissa tai silmässä.
- Veritulpan mahdollisuus saattaa olla suurempi, jos sinulla on tätä riskiä suurentavia sairauksia tai tiloja (ks. kohdasta Mitä sinun on tiedettävä ennen valmisteen käyttöä lisätietoja veritulppien riskiä lisäävistä tiloista tai sairauksista ja veritulpan oireista)
- laskimotulehdus, nenäverenvuoto, pyörtyminen
- laajentunut vatsa, suolistohäiriö, vatsan turvotus, vatsatyrä, suun sienitulehdus, ummetus, suun kuivuus
- sappitie- tai sappikipu, sappitulehdus
- keltaruskeat läikät iholla, ihottuma, hiustenlähtö, aknenkaltainen ihotulehdus, ihon kuivuus, ihon kyhmyinen tulehdus, liiallinen karvankasvu, ihohäiriö, ihojuovat, ihotulehdus, valoherkkä ihotulehdus, ihokyhmyt
- kivulias tai vaikea yhdyntä, emätintulehdus (vulvovaginiitti), verenvuoto yhdynnän jälkeen, tyhjennysvuoto, rintakysta, rintarauhasen liikakasvu (hyperplasia), pahanlaatuiset rintakyhmyt, kohdunkaulan limakalvon liikakasvu, kohdun limakalvon oheneminen tai surkastuminen, munasarjakystat, kohdun laajeneminen
- yleinen huonovointisuus
- painon lasku.
Myös seuraavia haittavaikutuksia on raportoitu, mutta niiden yleisyyttä ei voida arvioida saatavilla olevan tiedon perusteella: yliherkkyys, erythema multiforme (punoittavat, rengasmaiset ihottumaläiskät tai haavaumat).
Haittavaikutuksista ilmoittaminen
Jos havaitset haittavaikutuksia, kerro niistä lääkärille, apteekkihenkilökunnalle tai sairaanhoitajalle. Tämä koskee myös sellaisia mahdollisia haittavaikutuksia, joita ei ole mainittu tässä pakkausselosteessa. Voit ilmoittaa haittavaikutuksista myös suoraan (ks. yhteystiedot alla). Ilmoittamalla haittavaikutuksista voit auttaa saamaan enemmän tietoa tämän lääkevalmisteen turvallisuudesta.
www-sivusto: www.fimea.fi
Lääkealan turvallisuus- ja kehittämiskeskus Fimea
Lääkkeiden haittavaikutusrekisteri
PL 55
00034 FIMEA
5. Valmisteen säilyttäminen
Ei lasten ulottuville eikä näkyville.
Säilytä alle 30 ºC.
Älä käytä tätä lääkettä pakkauksessa mainitun viimeisen käyttöpäivämäärän (Käyt.viim tai EXP) jälkeen. Viimeinen käyttöpäivämäärä tarkoittaa kuukauden viimeistä päivää.
Lääkkeitä ei pidä heittää viemäriin eikä hävittää talousjätteiden mukana. Kysy käyttämättömien lääkkeiden hävittämisestä apteekista. Näin menetellen suojelet luontoa.
6. Pakkauksen sisältö ja muuta tietoa
Mitä Dizminelle sisältää
- Vaikuttavat aineet ovat etinyyliestradioli ja drospirenoni.
Jokainen vaaleanpunainen, vaikuttavia aineita sisältävä kalvopäällysteinen tabletti sisältää 0,02 mg etinyyliestradiolia ja 3 mg drospirenonia.
Valkoiset kalvopäällysteiset tabletit eivät sisällä vaikuttavia aineita.
Vaaleanpunainen aktiivinen kalvopäällysteinen tabletti: laktoosimonohydraatti, esigelatinoitu maissitärkkelys, povidoni K-30 (E1201), kroskarmelloosinatrium, polysorbaatti 80, magnesiumstearaatti (E572), poly(vinyylialkoholi), titaanidioksidi (E171), makrogoli 3350, talkki (E553b), keltainen rautaoksidi (E172), punainen rautaoksidi (E172), musta rautaoksidi (E172).
Valkoinen kalvopäällysteinen lumetabletti: vedetön laktoosi, povidoni K-30 (E1201), magnesiumstearaatti (E572), poly(vinyylialkoholi), titaanidioksidi (E171), makrogoli 3350, talkki (E553b).
Lääkevalmisteen kuvaus ja pakkauskoot (‑koot)
- Yhdessä Dizminelle-läpipainopakkauksessa on läpipainopakkauksen 1., 2., 3. ja 4. riveillä 24 vaaleanpunaista kalvopäällysteistä tablettia, jotka sisältävät vaikuttavia aineita, sekä 4. rivillä 4 valkoista kalvopäällysteistä lumetablettia.
- Sekä vaaleanpunaiset että valkoiset Dizminelle-tabletit ovat kalvopäällysteisiä tabletteja (tabletin ydin on päällystetty).
- Dizminelle-tabletteja on saatavina 1, 3, 6 ja 13 läpipainopakkauksen pakkauksissa. Kussakin läpipainopakkauksessa on 28 (24 + 4) tablettia.
Kaikkia pakkauskokoja ei välttämättä ole myynnissä.
Myyntiluvan haltija
Exeltis Healthcare S.L.
Av.Miralcampo 7-Poligono Ind.Miralcampo
19200 Azuqueca de Henares, Guadalajara
Espanja
Valmistaja
Laboratorios Leon Farma, S.A.
C/ La Vallina, s/n,
Polígono Industrial Navatejera,
Villaquilambre 24193 (León),
Espanja
Tämä pakkausseloste on tarkistettu viimeksi: 18.11.2024