Diza 0,02 mg / 3 mg kalvopäällysteiset tabletit
etinyyliestradioli / drospirenoni
Yleisiä ohjeita
Lue tämä pakkausseloste huolellisesti ennen kuin aloitat lääkkeen ottamisen, sillä se sisältää sinulle tärkeitä tietoja.
- Säilytä tämä pakkausseloste. Voit tarvita sitä myöhemmin.
- Jos sinulla on kysyttävää, käänny lääkärin tai apteekkihenkilökunnan puoleen.
- Tämä lääke on määrätty vain sinulle eikä sitä tule antaa muiden käyttöön. Se voi aiheuttaa haittaa muille, vaikka heillä olisikin samanlaiset oireet kuin sinulla.
- Jos havaitset haittavaikutuksia, käänny lääkärin tai apteekkihenkilökunnan puoleen. Tämä koskee myös sellaisia mahdollisia haittavaikutuksia, joita ei ole mainittu tässä pakkausselosteessa.
Tärkeitä tietoja yhdistelmäehkäisyvalmisteista:
- Oikein käytettyinä ne ovat yksi luotettavimmista palautuvista raskaudenehkäisykeinoista.
- Ne lisäävät hieman laskimo- ja valtimoveritulppien riskiä erityisesti ensimmäisen käyttövuoden aikana tai kun yhdistelmäehkäisyvalmisteen käyttö aloitetaan uudelleen vähintään 4 viikon tauon jälkeen.
- Tarkkaile vointiasi ja mene lääkäriin, jos arvelet, että sinulla saattaa olla veritulpan oireita (ks. kohta Mitä sinun on tiedettävä ennen valmisteen käyttöä ”Veritulpat”).
Tässä pakkausselosteessa kerrotaan
- Mitä Diza on ja mihin sitä käytetään
- Mitä sinun on tiedettävä, ennen kuin otat Diza-valmistetta
- Miten Diza-valmistetta otetaan
- Mahdolliset haittavaikutukset
- Diza-valmisteen säilyttäminen
- Pakkauksen sisältö ja muuta tietoa
1. Mitä valmiste on ja mihin sitä käytetään
- Diza on ehkäisytabletti, jota käytetään raskauden ehkäisyyn.
- Kukin tabletti (yhteensä 24 tablettia) sisältää pienen määrän kahta eri naishormonia, drospirenonia ja etinyyliestradiolia.
- Kahta eri hormonia sisältäviä ehkäisypillereitä kutsutaan yhdistelmäehkäisytableteiksi.
2. Mitä sinun on tiedettävä ennen valmisteen käyttöä
Ennen Diza-valmisteen käytön aloittamista on keskusteltava lääkärin kanssa siitä, kuinka valmistetta käytetään.
Ennen kuin aloitat Diza-valmisteen käyttämisen, lue veritulppia koskevat tiedot kohdasta Mitä sinun on tiedettävä ennen valmisteen käyttöä. On erityisen tärkeää, että luet veritulpan oireita kuvaavan kohdan – ks. kohta Mitä sinun on tiedettävä ennen valmisteen käyttöä “Veritulpat”.
Ennen kuin voit aloittaa Diza-valmisteen käytön, lääkäri esittää sinulle kysymyksiä sinun ja lähisukulaistesi terveydentilasta. Lisäksi lääkäri mittaa verenpaineesi ja voi henkilökohtaisesta tilanteestasi riippuen tehdä myös joitakin muita tutkimuksia.
Tässä pakkausselosteessa kuvataan eri tilanteita, joissa Diza-valmisteen käyttö pitää lopettaa, tai joissa valmisteen ehkäisyteho on saattanut heikentyä. Näissä tilanteissa on pidättäydyttävä yhdynnästä tai käytettävä lisäksi ei-hormonaalista ehkäisymenetelmää, kuten kondomia tai muuta estemenetelmää. Älä käytä rytmimenetelmää tai peruslämmönmittausta. Nämä menetelmät eivät ole luotettavia, sillä Diza vaikuttaa kehon lämpötilan kuukausimuutoksiin ja kohdunkaulan eritteeseen.
Diza ei suojaa HIV-tartunnalta (AIDS) eikä muilta sukupuolitaudeilta, kuten eivät muutkaan ehkäisytabletit.
Älä ota Diza-valmistetta
Sinun ei pidä käyttää Diza-valmistetta, jos sinulla on jokin alla mainituista tiloista. Jos sinulla on jokin alla mainituista tiloista, sinun on kerrottava siitä lääkärille. Lääkäri keskustelee kanssasi muista sinulle paremmin soveltuvista ehkäisymenetelmistä.
- jos sinulla on (tai on joskus ollut) veritulppa jalkojesi verisuonissa (syvä laskimotukos, SLT) tai keuhkoissa (keuhkoembolia) tai muualla elimistössä
- jos tiedät, että sinulla on jokin veren hyytymiseen vaikuttava sairaus – esimerkiksi C-proteiinin puutos, S-proteiinin puutos, antitrombiini III:n puutos, Faktori V Leiden tai fosfolipidivasta-aineita
- jos joudut leikkaukseen tai joudut olemaan vuodelevossa pitkän aikaa (ks. kohta ”Veritulpat”)
- jos sinulla on joskus ollut sydänkohtaus tai aivohalvaus
- jos sinulla on (tai on joskus ollut) angina pectoris (sairaus, joka aiheuttaa voimakasta rintakipua ja joka voi olla sydänkohtauksen ensimmäinen merkki) tai ohimenevä aivoverenkiertohäiriö (TIA – ohimenevän aivohalvauksen oireita)
- jos sinulla on jokin seuraavista sairauksista, jotka saattavat lisätä tukosten kehittymisen riskiä valtimoissasi:
- vaikea-asteinen diabetes, johon liittyy verisuonivaurioita
- hyvin korkea verenpaine
- hyvin suuri veren rasva-ainepitoisuus (kolesteroli tai triglyseridit)
- sairaus nimeltä hyperhomokysteinemia (veren homokysteiinirunsaus)
- jos sinulla on (tai on joskus ollut) niin sanottu aurallinen migreeni
- jos sinulla on (tai on joskus ollut) maksasairaus ja jos maksan toiminta ei ole vielä palautunut normaaliksi
- jos sinulla on heikentynyt munuaisten toiminta (munuaisten vajaatoiminta)
- jos sinulla on (tai on joskus ollut) maksakasvain
- jos sinulla on (tai on joskus ollut) tai epäillään olevan rintasyöpä tai sukupuolielinten syöpä
- jos sinulla esiintyy verenvuotoa emättimestä eikä sen syytä ei ole selvitetty
- jos olet allerginen etinyyliestradiolille tai drospirenonille tai tämän lääkkeen jollekin muulle aineelle (lueteltu kohdassa Pakkauksen sisältö ja muuta tietoa). Yliherkkyys voi ilmetä kutinana, ihottumana tai turvotuksena.
Älä käytä Diza-valmistetta, jos sinulla on hepatiitti C ja käytät ombitasviirin, paritapreviirin ja ritonaviirin yhdistelmää ja dasabuviiria, glekapreviiria ja pibrentasviiria yhdistelmää tai sofosbuviirin, velpatasviirin ja voksilapreviirin yhdistelmää sisältäviä lääkevalmisteita (ks. myös kohta ”Muut lääkevalmisteet ja Diza”).
- Erityisryhmiä koskevat lisätiedot
Lapset ja nuoret
Diza-valmistetta ei ole tarkoitettu käytettäväksi tytöillä, joiden kuukautiset eivät ole vielä alkaneet.
Iäkkäät naiset
Diza-valmistetta ei ole tarkoitettu käytettäväksi vaihdevuosien jälkeen.
Naiset, joilla on maksan vajaatoiminta
Älä ota Diza-valmistetta, jos sinulla on maksasairaus. Katso myös kohdat ”Älä ota Diza-valmistetta” ja ”Varoitukset ja varotoimet”.
Naiset, joilla on munuaisten vajaatoiminta
Älä käytä Diza-valmistetta, jos sinulla on heikentynyt munuaisten toiminta tai akuutti munuaisten vajaatoiminta. Katso myös kohdat ”Älä ota Diza-valmistetta” ja ”Varoitukset ja varotoimet”.
Varoitukset ja varotoimet
Milloin sinun pitää ottaa yhteys lääkäriin?
Hakeudu välittömästi lääkärin hoitoon
- jos huomaat mahdollisia veritulpan oireita, jotka saattavat merkitä, että sinulla on veritulppa jalassa (ts. syvä laskimotukos), veritulppa keuhkoissa (ts. keuhkoembolia), sydänkohtaus tai aivohalvaus (ks. kohta ”Veritulpat” alempana).
Näiden vakavien haittavaikutusten kuvaukset löydät kohdasta ”Miten tunnistan veritulpan”.
Kerro lääkärille, jos jokin seuraavista tiloista koskee sinua
- Joissakin tilanteissa sinun tulee olla erityisen varovainen käyttäessäsi Diza-valmistetta tai muita yhdistelmäehkäisytabletteja, ja voi olla tarpeen, että käyt säännöllisesti lääkärin vastaanotolla. Kerro lääkärille myös silloin, jos jokin näistä tiloista ilmaantuu tai pahenee sinä aikana, kun käytät Diza-valmistetta:
- jos lähisukulaisellasi on tai on joskus ollut rintasyöpä
- jos sinulla on maksa- tai sappirakkosairaus
- jos sinulla on diabetes
- jos sinulla on masennus
- jos sinulla on Crohnin tauti tai haavainen paksusuolitulehdus (krooninen tulehduksellinen suolistosairaus)
- jos sinulla on systeeminen lupus erythematosus (SLE, immuunijärjestelmään vaikuttava sairaus)
- jos sinulla on hemolyyttis-ureeminen oireyhtymä (HUS, munuaisten vajaatoimintaa aiheuttava veren hyytymishäiriö)
- jos sinulla on sirppisoluanemia (perinnöllinen, punasoluihin liittyvät sairaus)
- jos sinulla suurentunut veren rasva-arvo (hypertriglyseridemia) tai jos tätä tilaa on esiintynyt suvussasi. Hypertriglyseridemiaan on liitetty suurentunut haimatulehduksen (pankreatiitin) kehittymisen riski.
- jos joudut leikkaukseen tai joudut olemaan vuodelevossa pitkän aikaa (ks. kohta Mitä sinun on tiedettävä ennen valmisteen käyttöä ”Veritulpat”)
- jos olet äskettäin synnyttänyt, sinulla on suurentunut veritulppariski. Kysy lääkäriltä, kuinka pian synnytyksen jälkeen voit aloittaa Diza-valmisteen käytön.
- jos sinulla on ihonalainen verisuonitulehdus (pinnallinen laskimontukkotulehdus)
- jos sinulla on suonikohjuja
- jos sinulla on epilepsia (ks. kohta ”Muut lääkevalmisteet ja Diza”)
- jos sinulla on sairaus, joka ilmeni ensimmäisen kerran raskauden tai sukupuolihormonien aiemman käytön aikana (esim. kuulon heikentyminen, porfyriaksi kutsuttu verisairaus, raskaudenaikainen rakkulaihottuma (Herpes gestationis) tai pakkoliikkeitä aiheuttava hermostosairaus (Sydenhamin korea)
- jos sinulla on (tai on joskus ollut) kellanruskeita ihon pigmenttiläiskiä (maksaläiskiä) erityisesti kasvoissa. Vältä tällöin suoraa altistumista auringonvalolle ja ultraviolettisäteilylle.
- Jos sinulle ilmaantuu angioedeeman oireita, kuten kasvojen, kielen ja/tai nielun turvotusta ja/tai nielemisvaikeuksia tai nokkosihottumaa, johon voi liittyä hengitysvaikeuksia, ota heti yhteys lääkäriin. Estrogeeniä sisältävät valmisteet saattavat aiheuttaa tai pahentaa perinnöllisen ja hankinnaisen angioedeeman oireita.
VERITULPAT
Yhdistelmäehkäisyvalmisteen, kuten esimerkiksi Diza-valmisteen, käyttö lisää riskiäsi saada veritulppa verrattuna niihin, jotka eivät käytä tällaista valmistetta. Harvinaisissa tapauksissa veritulppa voi tukkia verisuonet ja aiheuttaa vakavia haittoja.
Veritulppia voi kehittyä:
- laskimoihin (tällöin puhutaan laskimoveritulpasta, laskimotromboemboliasta tai VTE:sta)
- valtimoihin (tällöin puhutaan valtimoveritulpasta, valtimotromboemboliasta tai ATE:sta).
Veritulpista ei aina toivu täydellisesti. Harvinaisissa tapauksissa voi ilmetä vakavia, pysyviä vaikutuksia ja erittäin harvoin ne voivat johtaa kuolemaan.
On tärkeää muistaa, että kokonaisriski saada vahingollinen veritulppa Diza-valmisteen käytön vuoksi on pieni.
MITEN TUNNISTAN VERITULPAN
Hakeudu välittömästi lääkärin hoitoon, jos huomaat jonkin seuraavista oireista tai merkeistä.
Onko sinulla jokin näistä oireista/merkeistä?
|
Mikä sairaus sinulla mahdollisesti on?
|
- toisen jalan turvotus tai laskimon myötäinen turvotus jalassa/jalkaterässä, varsinkin kun siihen liittyy:
- jalan kipu tai arkuus, joka saattaa tuntua vain seistessä tai kävellessä
- jalan lisääntynyt lämmöntunne
- jalan ihon värin muuttuminen esim. kalpeaksi, punaiseksi tai sinertäväksi
|
Syvä laskimoveritulppa
|
- äkillinen selittämätön hengenahdistus tai nopea hengitys
- äkillinen yskä ilman selvää syytä; yskän mukana voi tulla veriysköksiä
- pistävä rintakipu, joka voi voimistua syvään hengitettäessä
- vaikea-asteinen pyörrytys tai huimaus
- nopea tai epäsäännöllinen sydämen syke
- vaikea-asteinen vatsakipu
Jos olet epävarma, keskustele asiasta lääkärin kanssa, sillä jotkin näistä oireista (esim. yskä ja hengenahdistus), voidaan sekoittaa lievempiin sairauksiin, kuten hengitystieinfektioon (esim. tavalliseen flunssaan).
|
Keuhkoembolia (keuhkoveritulppa)
|
Oireita esiintyy yleensä yhdessä silmässä:
- välitön näön menetys tai
- kivuton näön hämärtyminen, mikä voi edetä näönmenetykseen
|
Verkkokalvon laskimotukos (veritulppa silmässä)
|
- rintakipu, epämiellyttävä olo, paineen tunne, painon tunne
- puristuksen tai täysinäisyyden tunne rinnassa, käsivarressa tai rintalastan takana
- täysinäisyyden tunne, ruoansulatushäiriöt tai tukehtumisen tunne
- ylävartalon epämiellyttävä olo, joka säteilee selkään, leukaan, kurkkuun, käsivarteen ja vatsaan
- hikoilu, pahoinvointi, oksentelu tai huimaus
- erittäin voimakas heikkouden tunne, ahdistuneisuus tai hengenahdistus
- nopea tai epäsäännöllinen sydämen syke
|
Sydänkohtaus
|
- äkillinen kasvojen, käsivarsien tai jalkojen tunnottomuus tai heikkous, varsinkin vartalon yhdellä puolella
- äkillinen sekavuus, puhe- tai ymmärtämisvaikeudet
- äkillinen näön heikentyminen yhdessä tai molemmissa silmissä
- äkillinen kävelyn vaikeutuminen, huimaus, tasapainon tai koordinaation menetys
- äkillinen, voimakas tai pitkittynyt päänsärky, jonka syytä ei tiedetä
- tajunnan menetys tai pyörtyminen, johon saattaa liittyä kouristuskohtaus.
Joskus aivohalvauksen oireet voivat olla lyhytkestoisia ja toipuminen niistä lähes välitöntä ja täydellistä. Sinun pitää silti hakeutua välittömästi lääkäriin, koska vaarana voi olla toinen aivohalvaus.
|
Aivohalvaus
|
- raajan turvotus ja lievä sinerrys
- voimakas vatsakipu (akuutti vatsa)
|
Muita verisuonia tukkivat veritulpat
|
LASKIMOVERITULPAT
Mitä voi tapahtua, jos laskimoon kehittyy veritulppa?
- Yhdistelmäehkäisyvalmisteiden käyttöön on liitetty laskimoveritulppien (laskimotromboosien) lisääntynyt riski. Nämä haittavaikutukset ovat kuitenkin harvinaisia. Useimmin niitä esiintyy yhdistelmäehkäisyvalmisteen ensimmäisen käyttövuoden aikana.
- Jos jalan laskimossa kehittyy veritulppa, se voi aiheuttaa syvän laskimotukoksen (SLT).
- Jos hyytymä lähtee liikkeelle jalasta ja asettuu keuhkoihin, se voi saada aikaan keuhkoveritulpan (keuhkoembolia).
- Hyvin harvoin tällainen hyytymä voi kehittyä jonkin toisen elimen laskimoon, esim. silmään (verkkokalvon laskimoveritulppa).
Milloin laskimoveritulpan kehittymisen riski on suurin?
Laskimoveritulpan kehittymisen riski on suurimmillaan ensimmäisen vuoden aikana, kun käytät yhdistelmäehkäisyvalmistetta ensimmäistä kertaa elämässäsi. Riski voi olla suurempi myös silloin, jos aloitat yhdistelmäehkäisyvalmisteen käyttämisen uudelleen (sama valmiste tai eri valmiste) vähintään neljän viikon tauon jälkeen.
Ensimmäisen vuoden jälkeen riski pienenee, mutta se on aina hieman suurempi kuin silloin, kun yhdistelmäehkäisyvalmistetta ei käytetä.
Kun lopetat Diza-valmisteen käytön, veritulppariski palautuu normaalille tasolle muutaman viikon kuluessa.
Kuinka suuri on veritulpan kehittymisen riski?
Tämä riski riippuu yksilöllisestä veritulppariskistäsi ja käyttämäsi yhdistelmäehkäisyvalmisteen tyypistä.
Riski veritulpan kehittymiselle jalkaan (syvä laskimotukos) tai keuhkoihin (keuhkoveritulppa) on kaiken kaikkiaan pieni Diza-valmistetta käytettäessä.
- Noin kahdelle naiselle 10 000:sta, jotka eivät käytä mitään yhdistelmäehkäisyvalmistetta eivätkä ole raskaana, kehittyy veritulppa vuoden aikana.
- Noin 5 - 7 naiselle 10 000:sta, jotka käyttävät levonorgestreelia, noretisteronia tai norgestimaattia sisältävää yhdistelmäehkäisyvalmistetta, kehittyy veritulppa vuoden aikana.
- Noin 9 - 12 naiselle 10 000:sta, jotka käyttävät drospirenonia sisältävää yhdistelmäehkäisyvalmistetta, kuten esimerkiksi Diza-valmistetta, kehittyy veritulppa vuoden aikana.
- Veritulpan saamisen riski vaihtelee oman sairaushistoriasi mukaan (ks. jäljempänä kohta ”Tekijöitä, jotka lisäävät riskiäsi saada laskimoveritulppa”).
|
Veritulpan saamisen riski vuoden aikana
|
Naiset, jotka eivät käytä mitään yhdistelmäehkäisytablettia/-laastaria/-rengasta eivätkä ole raskaana
|
noin kaksi naista 10 000:sta
|
Naiset, jotka käyttävät levonorgestreelia, noretisteronia tai norgestimaattia sisältävää yhdistelmäehkäisyvalmistetta
|
noin 5 - 7 naista 10 000:sta
|
Naiset, jotka käyttävät Diza-valmistetta
|
noin 9 - 12 naista 10 000:sta
|
Tekijöitä, jotka lisäävät riskiäsi saada laskimoveritulppa
Veritulpan riski on Diza-valmistetta käytettäessä pieni, mutta jotkin tilat tai sairaudet suurentavat riskiä. Riskisi on suurempi:
- jos olet merkittävästi ylipainoinen (painoindeksi eli BMI yli 30 kg/m2)
- jollakin lähisukulaisellasi on ollut veritulppa jalassa, keuhkoissa tai muussa elimessä nuorella iällä (esim. alle 50-vuotiaana). Tässä tapauksessa sinulla saattaa olla perinnöllinen veren hyytymishäiriö.
- jos joudut leikkaukseen tai jos joudut olemaan vuodelevossa pitkään jonkin vamman tai sairauden takia, tai jos sinulla on kipsi jalassa. Diza-valmisteen käyttö on ehkä lopetettava muutamaa viikkoa ennen leikkausta tai sitä aikaa, jolloin et pääse juurikaan liikkumaan. Jos sinun pitää lopettaa Diza-valmisteen käyttö, kysy lääkäriltä, milloin voit aloittaa käytön uudelleen.
- iän myötä (erityisesti yli 35-vuotiailla)
- jos olet synnyttänyt muutaman viikon sisällä.
Veritulpan kehittymisen riski suurenee sen myötä, mitä enemmän erilaisia sairauksia tai tiloja sinulla on.
Lentomatka (> 4 tuntia) saattaa väliaikaisesti lisätä veritulpan riskiä, erityisesti jos sinulla on jokin toinen luettelossa mainittu riskitekijä.
On tärkeää kertoa lääkärille, jos jokin näistä tiloista koskee sinua, myös vaikka olisit epävarma asiasta. Lääkäri saattaa päättää, että sinun on lopetettava Diza-valmisteen käyttö.
Kerro lääkärille, jos jokin yllä olevista tiloista muuttuu sinä aikana, kun käytät Diza-valmistetta, esimerkiksi lähisukulaisella todetaan verisuonitukos, jonka syytä ei tiedetä, tai painosi nousee huomattavasti.
VALTIMOVERITULPAT
Mitä voi tapahtua, jos valtimoon kehittyy veritulppa?
Kuten laskimossa oleva veritulppa, valtimoonkin kehittynyt veritulppa voi aiheuttaa vakavia ongelmia. Se voi esimerkiksi aiheuttaa sydänkohtauksen tai aivohalvauksen.
Tekijöitä, jotka lisäävät riskiäsi saada valtimoveritulppa
On tärkeää huomioida, että Diza-valmisteen käyttämisestä johtuvan sydänkohtauksen tai aivohalvauksen riski on hyvin pieni, mutta se voi suurentua:
- iän myötä (noin 35 ikävuoden jälkeen)
- jos tupakoit. Kun käytät yhdistelmäehkäisyvalmistetta, kuten esimerkiksi Diza-valmistetta, tupakoinnin lopettaminen on suositeltavaa. Jos et pysty lopettamaan tupakointia ja olet yli 35-vuotias, lääkäri kehottaa sinua käyttämään muun tyyppistä raskaudenehkäisyä.
- jos olet ylipainoinen
- jos sinulla on korkea verenpaine
- jos jollakin lähisukulaisellasi on ollut sydänkohtaus tai aivohalvaus nuorella iällä (alle 50-vuotiaana). Tässä tapauksessa myös sinulla voi olla suurempi sydänkohtauksen tai aivohalvauksen riski.
- jos sinulla tai jollakin lähisukulaisellasi on korkea veren rasvapitoisuus (kolesteroli tai triglyseridit)
- jos sinulla on migreenikohtauksia, erityisesti aurallisia
- jos sinulla on jokin sydänsairaus (läppävika tai rytmihäiriö, jota kutsutaan eteisvärinäksi)
- jos sinulla on diabetes.
Jos yllä mainituista tiloista useampi kuin yksi koskee sinua, tai jos yksikin niistä on erityisen vaikea-asteinen, veritulpan saamisen riski voi olla vieläkin suurempi.
Kerro lääkärille, jos jokin yllä olevista tiloista muuttuu sinä aikana, kun käytät Diza-valmistetta, jos esimerkiksi aloitat tupakoinnin, lähisukulaisella todetaan verisuonitukos, jonka syytä ei tiedetä, tai painosi nousee huomattavasti.
Diza-valmiste ja syöpä
Rintasyöpää on todettu hieman useammin yhdistelmäehkäisytabletteja käyttävillä naisilla, mutta sen yhteyttä yhdistelmäehkäisytablettien käyttöön ei tunneta. Yhdistelmäehkäisytabletteja käyttäviä naisia tutkitaan säännöllisemmin ja on mahdollista, että kasvaimia todetaan sen vuoksi enemmän. Löydettyjen rintakasvainten esiintyvyys vähenee yhdistelmäehkäisytablettien käytön lopettamisen jälkeen. On tärkeää, että tutkit rintasi säännöllisesti, ja otat yhteyttä lääkäriisi, jos havaitset mahdollisen kyhmyn.
Harvinaisissa tapauksissa yhdistelmäehkäisytablettien käyttäjillä on todettu hyvänlaatuisia ja vielä harvemmin pahanlaatuisia maksakasvaimia. Ota yhteys lääkäriin, jos sinulla esiintyy tavanomaisesta poikkeavaa voimakasta vatsakipua.
Psyykkiset häiriöt:
Jotkut hormonaalisia ehkäisyvalmisteita, myös Diza:ää käyttävät naiset ovat ilmoittaneet masennuksesta tai masentuneesta mielialasta. Masennus voi olla vakavaa ja aiheuttaa toisinaan myös itsetuhoisia ajatuksia. Jos koet mielialan muutoksia ja masennusoireita, ota mahdollisimman pian yhteyttä lääkäriin, jotta voit saada neuvontaa.
Ylimääräinen vuoto kuukautisten välillä
Ensimmäisten Diza-valmisteen käyttökuukausien aikana sinulla saattaa esiintyä odottamatonta verenvuotoa (vuoto muina kuin tabletittomina päivinä). Jos verenvuoto jatkuu muutamaa kuukautta pidempään tai jos ylimääräinen vuoto ilmaantuu vasta useamman käyttökuukauden jälkeen, lääkärin tulee tutkia vuodon syy.
Mitä tehdä, jos kuukautisvuoto ei ala neljän tabletittoman päivän aikana?
Jos olet ottanut kaikki tabletit ohjeen mukaisesti, et ole oksentanut, sinulla ei ole ollut vaikea-asteista ripulia etkä ole käyttänyt muita lääkkeitä, on erittäin epätodennäköistä, että olisit raskaana.
Jos kuukautiset jäävät tulematta kaksi kertaa peräkkäin, saatat olla raskaana. Ota välittömästi yhteys lääkäriin.
Jos käytät Diza-valmistetta kuukautisten siirtämiseen, vuotoa ei yleensä ilmene neljän viikon välein, vaan tätä harvemmin jopa vasta 120 päivän välein. Siksi odottamaton raskaus voi olla vaikeaa tunnistaa. Jos jostain syystä epäilet olevasi raskaana, tee raskaustesti. Jos testi on positiivinen tai olet yhä epävarma, ota yhteys lääkäriin.
Aloita seuraava läpipainopakkaus vasta sitten, kun olet varma, ettet ole raskaana.
Lapset ja nuoret
Diza-valmiste on tarkoitettu vain potilaille, joiden kuukautiset ovat alkaneet.
Muut lääkevalmisteet ja Diza
Kerro aina lääkärille, mitä lääkkeitä tai rohdosvalmisteita käytät. Kerro myös muille lääkkeitä määrääville lääkäreille tai hammaslääkäreille (tai apteekin henkilökunnalle), että käytät Diza-valmistetta. He kertovat sinulle, jos sinun pitää käyttää lisäehkäisyä (esimerkiksi kondomia) ja miten pitkään lisäehkäisyä tulee käyttää tai onko sinun vaihdettava toiseen lääkkeeseen
Eräät lääkkeet
- voivat vaikuttaa Diza-valmisteen pitoisuuteen veressä
- voivat heikentää sen tehoa raskauden ehkäisyssä
- voivat aiheuttaa odottamatonta vuotoa.
Näitä ovat:
- epilepsialääkkeet (esim. primidoni, fenytoiini, barbituraatit, karbamatsepiini, okskarbatsepiini)
- tuberkuloosilääkkeet (esim. rifampisiini)
- HIV- ja C-hepatiitti-lääkkeet (niin kutsutut proteaasin estäjät ja ei-nukleosidiset käänteiskopioijaentsyymin estäjät, kuten ritonaviiri, nevirapiini ja efavirentsi)
- sieni-infektiolääkkeet (griseofulviini, ketokonatsoli)
- niveltulehduksen ja nivelrikon hoidossa käytetty lääke (etorikoksibi)
- keuhkovaltimon kohonneen verenpaineen hoitoon käytettävät lääkkeet (bosentaani)
Diza-valmiste voi vaikuttaa joidenkin muiden lääkkeiden tehoon. Näitä ovat esimerkiksi:
- siklosporiinia sisältävät valmisteet
- epilepsialääke lamotrigiini (samanaikainen käyttö voi johtaa epilepsiakohtausten lisääntymiseen)
- teofylliini (käytetään hengitysongelmien hoitoon)
- titsanidiini (käytetään lihaskipujen ja/tai lihaskramppien hoitoon).
Älä käytä Diza‑valmistetta, jos sinulla on hepatiitti C ja käytät lääkevalmisteita, jotka sisältävät ombitasviirin, paritapreviirin ja ritonaviirin yhdistelmää ja dasabuviiria, glekapreviiria ja pibrentasviiria yhdistelmää tai sofosbuviirin, velpatasviirin ja voksilapreviirin yhdistelmää, koska nämä valmisteet voi aiheuttaa maksan toimintakoearvojen kohoamista verikokeissa (kohonnut ALAT maksaentsyymiarvo).
Lääkäri määrää toisenlaisen ehkäisymenetelmän sinulle ennen kuin hoito näillä lääkevalmisteilla aloitetaan. Diza‑valmisteen käyttö voidaan aloittaa uudelleen noin kaksi viikkoa tämän hoidon päättymisen jälkeen. Katso kohta ”Älä ota Diza‑valmistetta”.
Kysy lääkäriltä tai apteekkihenkilökunnalta neuvoa ennen minkään lääkkeen käyttöä.
Diza ruoan ja juoman kanssa
Diza-tabletit voidaan ottaa joko ruoan kanssa tai ilman, tarvittaessa pienen vesimäärän kera.
Laboratoriotutkimukset
Jos menet verikokeeseen, kerro lääkärille tai laboratoriohenkilökunnalle, että käytät ehkäisytabletteja, sillä ne voivat vaikuttaa joihinkin tutkittaviin arvoihin.
Raskaus
Jos olet raskaana, et saa käyttää Diza-valmistetta. Jos tulet raskaaksi Diza-tablettien käytön aikana, lopeta tablettien käyttö välittömästi ja ota yhteys lääkäriin. Jos haluat tulla raskaaksi, voit lopettaa Diza-valmisteen käytön milloin tahansa (katso myös kohta ”Jos lopetat Diza-valmisteen käytön”).
Kysy lääkäriltä tai apteekkihenkilökunnalta neuvoa ennen minkään lääkkeen käyttöä.
Imetys
Diza-valmisteen käyttöä ei yleensä suositella imetyksen aikana. Jos haluat käyttää ehkäisytabletteja imetyksen aikana, kysy neuvoa lääkäriltä.
Kysy lääkäriltä tai apteekkihenkilökunnalta neuvoa ennen minkään lääkkeen käyttöä.
Ajaminen ja koneiden käyttö
Diza-valmisteen ei tiedetä vaikuttavan kykyyn ajaa autoa tai käyttää koneita.
Diza sisältää laktoosia ja natriumia
Jos lääkäri on kertonut, että sinulla on jokin sokeri-intoleranssi, keskustele lääkärisi kanssa ennen tämän lääkevalmisteen ottamista.
Tämä lääkevalmiste sisältää alle 1 mmol natriumia (23 mg) per tabletti eli sen voidaan sanoa olevan ”natriumiton”.
3. Miten valmistetta käytetään
Ota tätä lääkettä juuri siten kuin lääkäri on määrännyt. Tarkista ohjeet lääkäriltä tai apteekista, jos olet epävarma.
Kukin läpipainopakkaus sisältää 24 tablettia.
Ota yksi Diza-tabletti joka päivä, tarvittaessa pienen vesimäärän kanssa. Tabletin voi ottaa joko ruoan kanssa tai ilman. Tabletit tulee ottaa joka päivä suunnilleen samaan aikaan.
Tablettien ottaminen
Pakollinen vaihe (päivät 1 - 24)
Aloita ottamalla oikeaa viikonpäivää vastaava tabletti. Kun Diza-valmisteen käyttö aloitetaan, tabletteja on otettava ilman taukoja vähintään 24 peräkkäisenä päivänä. Tämän jälkeen voit joko:
- keskeyttää tablettien käytön ja pitää neljän päivän tabletittoman jakson, jolloin kuukautisesi alkavat
- tai jatkaa tablettien ottamista enintään 120 päivän ajan (ks. joustavan vaiheen kuvaus) ja näin siirtää kuukautistesi alkua.
Joustava vaihe (päivät 25 - 120)
Päivinä 25 - 120 tablettien käyttöä voidaan jatkaa niin, että tabletteja otetaan ilman taukoja yhteensä enintään 120 päivän ajan. Tämän vaiheen aikana voit itse päättää, haluatko siirtää kuukautisia vai pitää neljän päivän tabletittoman jakson.
Jos olet päättänyt jatkaa tablettien ottamista 120 päivää, siirry suoraan 4 päivän tabletittomaan jaksoon, kun olet ottanut 120 päivän tabletit.
Neljän päivän tabletiton jakso käynnistää kuukautisesi, ja vuoto yleensä alkaa.
Jos joustavan vaiheen aikana (päivinä 25 - 120) ilmenee jatkuvaa vuotoa (kolmena peräkkäisenä päivänä), on suositeltavaa pitää neljän päivän tabletiton jakso, joka käynnistää kuukautiset. Neljän päivän tabletiton jakso vähentää vuodon kokonaiskestoa.
Tabletiton jakso
Tabletiton jakso ei saa koskaan olla pidempi kuin neljä päivää ja sen saa aloittaa vain, jos tabletteja on otettu ilman taukoja vähintään 24 päivän ajan.
Neljän päivän tabletittoman jakson aikana esiintyy yleensä vuotoa eikä se välttämättä ole päättynyt ennen seuraavan tablettikierroksen aloittamista.
Kunkin neljän päivän tabletittoman jakson jälkeen aloitetaan uusi tablettikierros, joka kestää vähintään 24 päivää ja enintään 120 päivää. 24 päivän pakollisen vaiheen jälkeen, jossa tabletteja otetaan peräkkäisinä päivinä ilman taukoja, voit jälleen päättää, milloin pidät neljän päivän tabletittoman jakson (päivinä 25 - 120).
Pakollisen vaiheen alkaessa ja neljän päivän tabletittoman jakson jälkeen on suositeltavaa aloittaa uusi läpipainopakkaus (joka sisältää 24 tablettia). Tämä auttaa sinua seuraamaan oikein valmisteen käyttöohjeita.
Yleiset anto-ohjeet:
- Neljän päivän tabletittoman jakson saa aloittaa vain, jos tabletteja on otettu ilman taukoja vähintään 24 päivän ajan (ts. pakollinen vaihe on päättynyt).
- Neljän päivän tabletittoman jakson jälkeen alkaa uusi pakollinen vaihe, ts. tabletteja on otettava vähintään 24 päivän ajan ennen kuin seuraava tauko voidaan pitää.
Läpipainopakkauksen käyttöönotto
Jotta muistat ottaa ehkäisytabletin, jokaisessa Diza-pakkauksessa on 35 (5 x 7) tarraa, joihin on painettu viikonpäivät paitsi 24 tabletin aloituspakkauksessa, jossa on 7 (1x7) tarraa. Sinun on päätettävä, minä viikonpäivänä aloitat tablettien käytön.
Valitse tarra, joka alkaa siitä viikonpäivästä, jona aloitat tablettien ottamisen. Jos aloitat esimerkiksi keskiviikkona, käytä tarraa, joka alkaa merkinnästä "KE".
Liimaa tarra läpipainopakkauksen yläreunaan, jossa on merkintä "Kiinnitä viikonpäivätarra tähän". Jokaisen tabletin yläpuolella on nyt viikonpäivä ja näet, oletko ottanut kutakin päivää vastaavan tabletin. Nuolet ilmaisevat, missä järjestyksessä tabletit otetaan.
Kun käytät Diza-valmistetta tähän tapaan, ehkäisyteho säilyy myös niinä neljänä päivänä, kun et ota tabletteja.
Jos sinulla on läpipainopakkauksia, joita ei ole käytetty loppuun, voit käyttää jäljellä olevat tabletit joustavan vaiheen aikana. Valitse uusi viikonpäivätarra, jossa viikonpäivä jona aloitat jäljellä olevien tablettien käytön, on ensimmäisenä otettavan tabletin yläpuolella. Liimaa uusi viikonpäivätarra edellisen tarran päälle. Ks. Läpipainopakkauksen käyttöönotto.
Uusi läpipainopakkauskotelo on määrättävä ajoissa, ts. ennen kuin edellisen kotelon viimeinen läpipainopakkaus aloitetaan. Näin taataan, etteivät tabletit pääse loppumaan.
Jos olet epävarma siitä, kuinka toimitaan, kysy asiasta lääkäriltäsi.
Milloin ensimmäinen läpipainopakkaus voidaan aloittaa?
- Jos et ole käyttänyt hormonaalista ehkäisyvalmistetta edeltäneen kuukauden aikana
Aloita Diza-tablettien käyttö kierron ensimmäisenä päivänä (= ensimmäisenä vuotopäivänä). Näin toimien Diza-tablettien raskautta ehkäisevä vaikutus alkaa heti ensimmäisenä käyttöpäivänä. Voit aloittaa tablettien käytön myös kierron 2. - 5. päivänä, mutta siinä tapauksessa sinun on käytettävä lisäksi jotain muuta ehkäisymenetelmää (esim. kondomia) seitsemän ensimmäisen tablettipäivän ajan.
- Kun siirryt Diza-valmisteeseen hormonaalisesta yhdistelmäehkäisytabletista, -ehkäisyrenkaasta tai -ehkäisylaastarista
Aloita Diza-tablettien käyttö mieluiten viimeisen vaikuttavia aineita sisältävän tabletin ottamista seuraavana päivänä mutta viimeistään aiemman tablettivalmisteen käytössä pidettävän tablettitauon jälkeisenä päivänä (tai viimeisen vaikuttavaa ainetta sisältämättömän lumetabletin ottoa seuraavana päivänä). Kun siirryt yhdistelmäehkäisyrenkaasta tai -laastarista Diza-tabletteihin, noudata lääkärin ohjeita.
- Vaihto Diza-valmisteeseen pelkkää progestiinia sisältävästä ehkäisyvalmisteesta (ehkäisytabletti (minipilleri), injektio, implantaatti tai progestiinia vapauttava kohdunsisäinen ehkäisin)
Voit vaihtaa pelkkää progestiinia sisältävien ehkäisytablettien käytöstä Diza-tablettien käyttöön milloin tahansa (tai aloittaa Diza-valmisteen käytön silloin, kun kohdunsisäinen ehkäisin tai ehkäisyimplantaatti poistetaan tai kun sinun olisi määrä saada seuraava injektio). Kaikissa näissä tapauksissa sinun tulee käyttää lisäehkäisyä (esim. kondomia) seitsemän ensimmäisen tablettipäivän ajan.
- Raskauden keskeytymisen jälkeen
Kysy neuvoa lääkäriltä.
- Synnytyksen jälkeen
Voit aloittaa Diza-tablettien käytön 21 - 28 vuorokautta synnytyksen jälkeen. Jos aloitat valmisteen käytön päivän 28 jälkeen, sinun tulee käyttää lisäksi estemenetelmää (esim. kondomia) seitsemän ensimmäisen Diza-tablettipäivän ajan.
Jos olet ollut yhdynnässä synnytyksen jälkeen, ennen kuin aloitat Diza-tablettien käytön (uudelleen), sinun tulee varmistua siitä, että et ole raskaana, tai odottaa seuraavien kuukautisten alkamista.
- Jos imetät ja haluat aloittaa Diza-valmisteen käytön (uudelleen) synnytyksen jälkeen
Lue kohta "Imetys".
Pyydä neuvoa lääkäriltä, jos et ole varma siitä, milloin aloittaisit ehkäisytablettien käytön.
Jos otat enemmän Diza-tabletteja kuin sinun pitäisi
Diza-valmisteen yliannostuksen ei ole ilmoitettu aiheuttaneen vakavia haittavaikutuksia.
Jos otat samanaikaisesti useita tabletteja, sinulle voi tulla pahoinvointia tai oksentelua tai verenvuotoa emättimestä. Myös tytöillä, joiden kuukautiset eivät vielä ole alkaneet mutta jotka ovat vahingossa ottaneet tätä lääkettä, voi esiintyä tällaista verenvuotoa.
Jos olet ottanut liian suuren lääkeannoksen tai vaikkapa lapsi on ottanut lääkettä vahingossa, ota aina yhteyttä lääkäriin, sairaalaan tai Myrkytystietokeskukseen (puh. 09 471 977 Suomessa, 112 Ruotsissa) riskien arvioimiseksi ja lisäohjeiden saamiseksi.
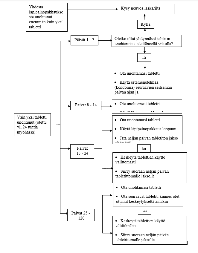
Jos unohdat ottaa Diza-tabletin
Jos unohdat tabletin (yhden läpipainopakkauksen 24 tabletista), toimi seuraavasti:
- Jos tabletin unohtamisesta on kulunut alle 24 tuntia, tablettien raskautta ehkäisevä vaikutus ei ole heikentynyt. Ota tabletti heti, kun muistat asian, ja ota seuraavat tabletit tavanomaiseen aikaan.
- Jos tabletin unohtamisesta on kulunut yli 24 tuntia, tablettien raskautta ehkäisevä vaikutus on voinut heikentyä. Mitä useampia tabletteja olet unohtanut, sitä suurempi raskauden riski on.
Raskautta ehkäisevän vaikutuksen heikentyminen on suurimmillaan, jos unohdat ottaa tabletin läpipainopakkauksen alussa tai lopussa. Noudata siksi seuraavia sääntöjä (ks. alla oleva kaavio):
- Käytössä olevasta läpipainopakkauksesta on unohtunut enemmän kuin yksi tabletti
Ota yhteys lääkäriin.
- Yksi tabletti unohtunut päivinä 1 - 7
Ota unohtunut tabletti heti, kun muistat asian, vaikka se tarkoittaisi kahden tabletin ottamista samaan aikaan. Jatka tablettien ottamista normaaliin aikaan ja käytä ylimääräistä ehkäisyä, esim. kondomia seuraavien seitsemän päivän ajan. Jos olet ollut yhdynnässä tabletin unohtamista edeltäneellä viikolla, raskauden riski on olemassa. Ota tässä tapauksessa yhteys lääkäriin.
- Yksi tabletti unohtunut päivinä 8 - 14
Ota unohtunut tabletti heti, kun muistat asian, vaikka se tarkoittaisi kahden tabletin ottamista samaan aikaan. Jatka tablettien ottamista tavanomaiseen aikaan. Raskautta ehkäisevä vaikutus ei ole heikentynyt eikä ylimääräistä ehkäisyä tarvitse käyttää.
- Yksi tabletti unohtunut päivinä 15 - 24
Sinulla on kaksi vaihtoehtoa:
1. Ota unohtunut tabletti heti, kun muistat asian, vaikka se tarkoittaisi kahden tabletin ottamista samaan aikaan. Jatka tablettien ottamista tavanomaiseen aikaan, kunnes kaikki 24 tablettia on käytetty. Jätä neljän päivän tabletiton jakso väliin ja aloita seuraava läpipainopakkaus (aloituspäivä on nyt eri kuin edellisellä kerralla).
Todennäköisesti kuukautisesi tulevat toisen läpipainopakkauksen lopussa neljän tabletittoman päivän aikana. Sinulla voi kuitenkin olla kevyttä tai kuukautisia muistuttavaa vuotoa toisen läpipainopakkauksen käytön aikana.
2. Voit myös keskeyttää tablettien käytön ja siirtyä suoraan neljän päivän tabletittomalle jaksolle (ennen tabletittoman jakson aloittamista, kirjaa ylös päivä, jona unohdit ottaa tabletin). Jos haluat aloittaa uuden läpipainopakkauksen samana päivänä kuin yleensä, lyhennä tabletittoman jakson kestoa niin, että se on alle neljä päivää.
Kun noudatat jompaakumpaa näistä kahdesta vaihtoehdosta, valmisteen ehkäisyteho säilyy.
- Yksi tabletti unohtunut päivinä 25 - 120
Voit valita jommankumman seuraavista vaihtoehdoista. Lisäehkäisy ei ole tarpeen.
1. Ota unohtunut tabletti heti, kun muistat asian, vaikka se tarkoittaisi kahden tabletin ottamista samaan aikaan. Ota seuraavat tabletit tavanomaiseen aikaan, kunnes olet ottanut keskeytyksettä ainakin seitsemän tablettia.
2. Keskeytä tablettien käyttö, pidä neljän päivän tabletiton jakso (kirjaa päivä, jona unohdit ottaa tabletin) ja jatka sitten aloittamalla uusi Diza-tablettikierros.
- Jos olet unohtanut ottaa minkä tahansa läpipainopakkauksen tableteista eikä vuotoa ilmene neljän päivän tabletittoman jakson aikana, tämä voi tarkoittaa, että olet raskaana. Ota yhteys lääkäriisi ennen seuraavan läpipainopakkauksen aloittamista.

Mitä tehdä, jos oksennat tai sinulla on vaikea-asteinen ripuli
Jos oksennat 3 - 4 tunnin sisällä tabletin ottamisesta tai sinulla on vaikea ripuli, vaikuttavat aineet eivät ehkä ehdi imeytyä kokonaan. Tilanne on lähes sama kuin tabletin unohtuessa. Jos oksennat tai sinulla on ripuli, ota uusi tabletti toisesta läpipainopakkauksesta mahdollisimman pian. Jos mahdollista, ota se 24 tunnin sisällä siitä, kun normaalisti otat tabletin. Jos tämä ei ole mahdollista tai aikaa on kulunut jo yli 24 tuntia, noudata ohjeita, jotka on annettu kohdassa "Jos unohdat ottaa Diza-tabletin".
Jos lopetat Diza-valmisteen käytön
Voit lopettaa Diza-valmisteen käytön milloin tahansa. Jos et halua tulla raskaaksi, kysy lääkäriltä muista luotettavista ehkäisymenetelmistä. Jos haluat tulla raskaaksi, lopeta Diza-valmisteen käyttö ja odota kuukautisvuodon alkamista, ennen kuin yrität tulla raskaaksi. Silloin laskettu aika pystytään määrittämään helpommin.
Jos sinulla on kysymyksiä tämän lääkkeen käytöstä, käänny lääkärin tai apteekkihenkilökunnan puoleen.
4. Mahdolliset haittavaikutukset
Kuten kaikki lääkkeet, tämäkin lääke voi aiheuttaa haittavaikutuksia. Kaikki eivät kuitenkaan niitä saa. Jos havaitset jonkin haittavaikutuksen, varsinkin jos se on vaikea-asteinen tai sitkeästi jatkuva, tai jos terveydentilassasi tapahtuu jokin muutos, jonka arvelet johtuvan Diza-valmisteesta, kerro asiasta lääkärille.
Kaikilla yhdistelmäehkäisyvalmisteita käyttävillä naisilla on suurentunut laskimoveritulppien (laskimotromboembolian) tai valtimoveritulppien (valtimotromboembolian) riski. Katso lisätietoja yhdistelmäehkäisyvalmisteiden käyttämisen riskeistä kohdasta Mitä sinun on tiedettävä ennen valmisteen käyttöä ”Mitä sinun on tiedettävä, ennen kuin käytät Diza-valmistetta".
Ota heti yhteys lääkäriin, jos sinulle ilmaantuu jokin seuraavista angioedeeman oireista: kasvojen, kielen ja/tai nielun turvotus ja/tai nielemisvaikeudet tai nokkosihottuma, johon voi liittyä hengitysvaikeuksia (ks. myös kohta ˮVaroitukset ja varotoimetˮ).
Seuraavassa on lueteltu haittavaikutukset, jotka on yhdistetty Diza-tablettien käyttöön:
- Yleiset haittavaikutukset (voi esiintyä 1 - 10 käyttäjällä sadasta):
- mielialan vaihtelut
- päänsärky
- pahoinvointi
- rintojen kipu, kuukautisiin liittyvät ongelmat, kuten epäsäännölliset kuukautiset tai kuukautisten poisjääminen
- emotionaalinen epävakaus, masennus, seksuaalisen halukkuuden vähentyminen.
- Melko harvinaiset haittavaikutukset (voi esiintyä 1 - 10 käyttäjällä tuhannesta):
- masennus, hermostuneisuus, uneliaisuus
- huimaus, pistely
- migreeni, suonikohjut, kohonnut verenpaine
- vatsakipu, oksentelu, vatsavaivat, ilmavaivat, vatsakatarri, ripuli
- akne, kutina, ihottuma
- kipu ja särky, esim. selkäsärky, raajakipu, lihaskrampit
- emättimen sienitulehdus, lantiokipu, rintojen suureneminen, hyvänlaatuiset rintakyhmyt, verenvuoto kohdusta tai emättimestä (häviää yleensä hoidon jatkuessa), emätinvuoto, kuumat aallot, emätintulehdus (vaginiitti), kuukautisiin liittyvät ongelmat, kivuliaat kuukautiset, niukat kuukautiset, hyvin runsaat kuukautiset, emättimen kuivuus, epänormaali papa-näyte, sukupuolivietin väheneminen
- energian puute, lisääntynyt hikoilu, nesteen kertyminen
- painon nousu.
Masennus, sukupuolivietin väheneminen ja migreeni ovat yleisiä haittavaikutuksia, jotka liittyvät Diza-valmisteen käyttöön, kun valmistetta käytetään joustavasti keskeytyksettä jopa 120 päivän ajan.
- Harvinaiset haittavaikutukset (voi esiintyä 1 - 10 käyttäjällä 10 000:sta):
- kandidiaasi (sienitulehdus)
- anemia, verihiutaleiden määrän lisääntyminen veressä
- allerginen reaktio
- hormonaalinen (endokriininen) häiriö
- ruokahalun lisääntyminen, ruokahalun väheneminen, epänormaalin korkea veren kaliumpitoisuus, epänormaalin matala veren natriumpitoisuus
- kyvyttömyys saavuttaa orgasmi, unettomuus
- huimaus, vapina
- silmävaivat, esim. silmäluomitulehdus, silmien kuivuus
- poikkeavan nopea sydämensyke
- laskimotulehdus, nenäverenvuoto, pyörtyminen
- laajentunut vatsa, suolistohäiriö, vatsan turvotus, vatsatyrä, suun sienitulehdus, ummetus, suun kuivuus
- sappitie- tai sappikipu, sappitulehdus
- keltaruskeat läikät iholla, ekseema, hiustenlähtö, aknenkaltainen ihotulehdus, ihon kuivuus, ihon kyhmyinen tulehdus, liiallinen karvankasvu, ihohäiriö, ihojuovat, ihotulehdus, valoherkkä ihotulehdus, ihokyhmyt
- kivulias tai vaikea yhdyntä, emätintulehdus (vulvovaginiitti), verenvuoto yhdynnän jälkeen, tiputteluvuoto, rintakysta, rintarauhasen liikakasvu (hyperplasia), pahanlaatuiset rintakyhmyt, kohdunkaulan limakalvon liikakasvu, kohdun limakalvon oheneminen tai surkastuminen, munasarjakystat, kohdun laajeneminen
- yleinen huonovointisuus
- painon lasku
- haitalliset veritulpat laskimossa tai valtimossa, esimerkiksi:
- jalassa tai jalkaterässä (syvä laskimotukos)
- keuhkoissa (keuhkoembolia)
- sydänkohtaus
- aivohalvaus
- ”miniaivohalvaus” tai ohimenevät aivohalvauksen kaltaiset oireet, joita kutsutaan nimellä ohimenevä aivoverenkiertohäiriö (TIA)
- veritulpat maksassa, vatsassa/suolistossa, munuaisissa tai silmässä.
Veritulppariski voi olla suurempi, jos sinulla on muita riskiä nostavia tiloja (ks. kohdasta Mitä sinun on tiedettävä ennen valmisteen käyttöä lisätiedot tiloista, jotka lisäävät veritulppariskiä ja luettelo veritulpan oireista).
Myös seuraavia haittavaikutuksia on raportoitu, mutta niiden yleisyyttä ei voida arvioida saatavilla olevan tiedon perusteella: yliherkkyys, erythema multiforme (punoittavat, rengasmaiset ihottumaläiskät tai haavaumat).
Haittavaikutuksista ilmoittaminen
Jos havaitset haittavaikutuksia, kerro niistä lääkärille, apteekkihenkilökunnalle tai sairaanhoitajalle. Tämä koskee myös sellaisia mahdollisia haittavaikutuksia, joita ei ole mainittu tässä pakkausselosteessa. Voit ilmoittaa haittavaikutuksista myös suoraan
www-sivusto: www.fimea.fi
Lääkealan turvallisuus- ja kehittämiskeskus Fimea,
Lääkkeiden haittavaikutusrekisteri,
PL 55, FI-00034 Fimea.
Ilmoittamalla haittavaikutuksista voit auttaa saamaan enemmän tietoa tämän lääkevalmisteen turvallisuudesta.
5. Valmisteen säilyttäminen
Ei lasten ulottuville eikä näkyville.
Säilytä alle 30 ºC.
Älä käytä tätä lääkettä läpipainopakkauksessa ja kotelossa mainitun viimeisen käyttöpäivämäärän jälkeen, EXP. Viimeinen käyttöpäivämäärä tarkoittaa kuukauden viimeistä päivää.
Lääkkeitä ei tule heittää viemäriin eikä hävittää talousjätteiden mukana. Kysy käyttämättömien lääkkeiden hävittämisestä apteekista. Näin menetellen suojelet luontoa.
6. Pakkauksen sisältö ja muuta tietoa
Mitä Diza sisältää
- Vaikuttavat aineet ovat etinyyliestradioli ja drospirenoni. Yksi kalvopäällysteinen tabletti sisältää 0,02 mg etinyyliestradiolia ja 3 mg drospirenonia.
- Muut aineet ovat laktoosimonohydraatti, pregelatinoitu tärkkelys (maissi), povidoni (E1201), kroskarmelloosinatrium, polysorbaatti 80, magnesiumstearaatti (E470b), polyvinyylialkoholi, titaanidioksidi (E171), makrogoli, talkki (E553b), keltainen rautaoksidi (E172), punainen rautaoksidi (E172), musta rautaoksidi (E172).
Lääkevalmisteen kuvaus ja pakkauskoko (-koot)
- Kukin Diza-läpipainolevy sisältää 24 vaaleanpunaista kalvopäällysteistä tablettia.
- Diza on saatavana joko yksi (1) tai viisi (5) läpipainolevyä sisältävissä pakkauksissa. Pakkaus sisältää yhteensä 24 tai 120 tablettia.
- Kussakin Diza-pakkauksessa on seitsemän (1x7) tai 35 (5x7) tarraa, joihin on painettu viikonpäivä.
Myyntiluvan haltija
Exeltis Healthcare S.L.
Av.Miralcampo 7-Poligono Ind.Miralcampo
19200 Azuqueca de Henares, Guadalajara
Espanja
Valmistaja
Laboratorios Leon Farma, S.A.
C/ La Vallina, s/n,
Polígono Industrial Navatejera,
Villaquilambre 24193 (León),
Espanja
Tämä pakkausseloste on tarkistettu viimeksi: 06.11.2024